MOS 管计算导通损耗时,应该用平均电流IAVG还是用电流有效IRMS值呢?


先定义下相关参数,以便于后续的计算.
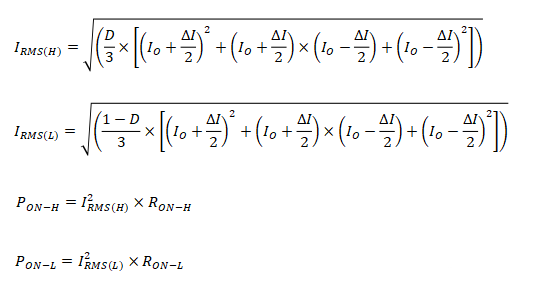
IO -------------输出电流
IH-AVG-----------上MOS 管平均电流
IL-AVG ---------下MOS 管平均电流
IRMS(H) --------上MOS 管电流有效值
IRMS(L) -----------下MOS 管电流有效值
D ------------------上MOS 管占空比
ΔI --------------电感纹波电流
RON-H ---------上MOS 管导通电阻
RON-L ---------下MOS 管导通电阻
PON-H ---------上MOS 管导通损耗
PON-L ---------下MOS 管导通损耗
计算方法1: 基于平均电流


计算方法2: 基于电流有效值


下面是关于有效值和平均值的对比数据,可以直观的看出有效值比平均值大出很多.
所以两种方法计算出来的导通损耗也会差别很大,那么哪种方式是正确的呢?




MOS 管导通时,等效为一个电阻RDS(ON), 计算损耗时是通过积分来计算的,应该用有效值来计算。




由此可见,I 为有效值的计算公式, 所以计算时应用电流有效值来计算MOS管的导通损耗.
那么什么时候可以用平均电流来计算损耗呢?
其实输出整流二极管,MOS体二极管的导通损耗,则是用均值来计算的.
〈烜芯微/XXW〉专业制造二极管,三极管,MOS管,桥堆等,20年,工厂直销省20%,上万家电路电器生产企业选用,专业的工程师帮您稳定好每一批产品,如果您有遇到什么需要帮助解决的,可以直接联系下方的联系号码或加QQ/微信,由我们的销售经理给您精准的报价以及产品介绍
联系号码:18923864027(同微信)
QQ:709211280