在设计MOS管开关电路时,就要充分了解MOS管的工作原理。下面咱们来详细说明。
MOS管的工作区域
MOS管有三个工作区域:
截止区域
线性(欧姆)区域
饱和区域
当 VGS < VTH时,MOS管工作在截止区域。在该区域中,MOS管处于关断状态,因为在漏极和源极之间没有感应沟道。
对于要感应的沟道和MOS管在线性或饱和区工作,VGS > VTH。
栅极 - 漏极偏置电压 VGD将决定MOS管是处于线性区还是饱和区。在这两个区域中,MOS管处于导通状态,但差异在线性区域,沟道是连续的,漏极电流与沟道电阻成正比。进入饱和区,当 VDS > VGS – VTH时,通道夹断,即它变宽导致恒定的漏极电流。
电子开关
半导体开关是电子电路中的重要方面之一。像 BJT 或MOS管 之类的半导体器件通常作为开关操作,即它们要么处于 ON 状态,要么处于 OFF 状态。
理想的开关特性
对于像MOS管这样的半导体器件,要充当理想的开关,它必须具有以下特性:
在 ON 状态下,它可以承载的电流量不应有任何限制。
在关闭状态下,阻断电压不应有任何限制。
当器件处于 ON 状态时,应有零压降。
关态电阻应该是无限大的。
设备的运行速度没有限制。


理想的开关特性图
实用开关特性
但半导体开关并不是我们想的那么理想。在实际情况中,像MOS管这样的半导体器件具有以下特性。
在开启状态期间,功率处理能力是有限的,即有限的传导电流。关断状态期间的阻断电压也受到限制。
有限的开启和关闭时间,这限制了开关速度。最大工作频率也受到限制。
当器件开启时,将存在一个有限的导通状态电阻,从而导致正向压降?;够嵊幸桓鲇邢薜墓乇兆刺缱?,这会导致反向漏电流。
实际的开关在开启状态、关闭状态以及过渡状态(从开启到关闭或从关闭到开启)期间都会经历断电。


实用开关特性图
MOS开关电路实例1
在下图所示的电路中,增强型 N 沟道MOS管用于切换简单的灯“ON”和“OFF”(也可以是 LED)。
栅极输入电压VGS被带到适当的正电压电平以打开器件,因此灯负载要么“打开”,(VGS= +ve),要么处于将器件“关闭”的零电压电平,(VGS = 0V)。
如果灯的电阻负载要由电感负载(如线圈、螺线管或继电器)代替,则需要与负载并联一个“续流二极管”,以?;OS管免受任何自生反电动势的影响。


MOS开关电路
上面显示了一个非常简单的电路,用于切换电阻负载,例如灯或 LED。但是,当使用功率MOS管切换感性或容性负载时,需要某种形式的?;だ捶乐筂OS管器件受损。驱动感性负载与驱动容性负载的效果相反。
例如,没有电荷的电容是短路的,导致高“涌入”电流,当我们从感性负载上移除电压时,随着磁场崩溃,我们会产生很大的反向电压,从而导致感应绕组中的感应反电动势。
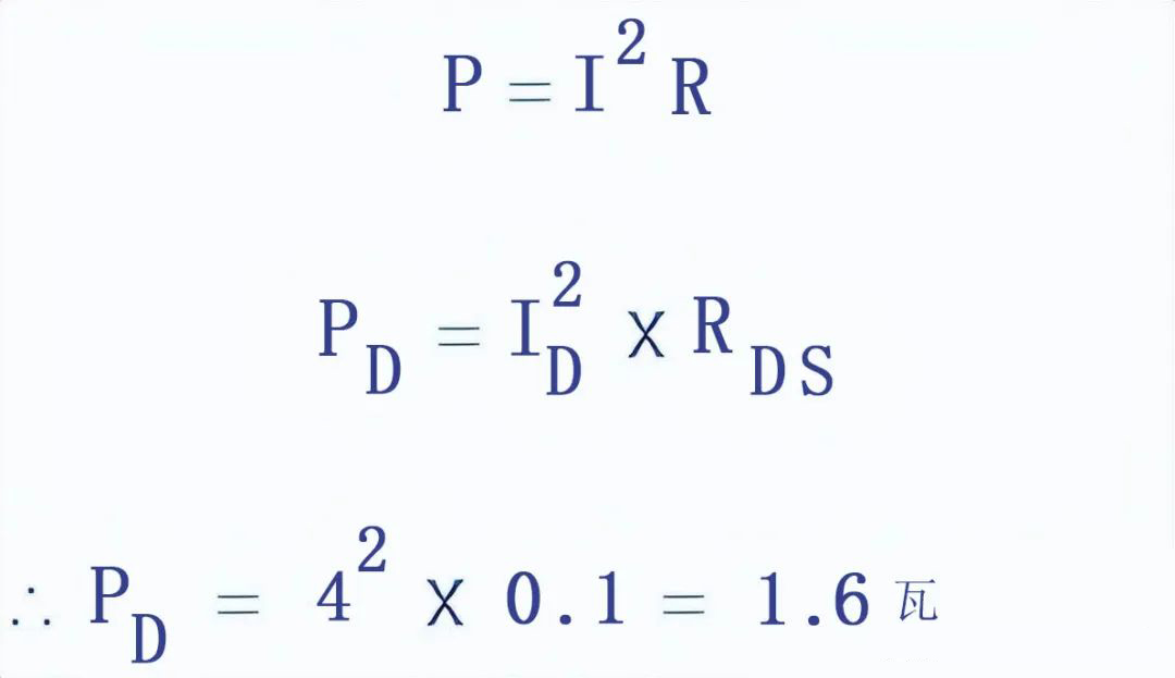
MOS开关电路功耗计算
我们假设灯的额定电压为 6v、24W 并且完全“开启”,标准MOS管的通道导通电阻 ( RDS(on) ) 值为 0.1ohms。计算MOS管开关器件的功耗。
流过灯的电流计算如下:


MOS开关电路电流计算公式
那么MOS管中消耗的功率将为:


MOS管开关电路功耗计算公式
P沟道MOS管开关电路实例
在上图我们将 N 沟道 MOS管视为开关,MOS管放置在负载和地之间。这也允许 MOS管的栅极驱动或开关信号以地为参考(低侧开关)。但在某些应用中,如果负载直接接地,我们需要使用 P 沟道增强型 MOS管。如下图所示。


P沟道MOS管开关电路
在这种情况下,MOS管开关连接在负载和正电源轨(高端开关)之间,就像我们使用 PNP 晶体管一样。
在 P 沟道器件中,漏极电流的常规流动方向为负方向,因此施加负栅源电压以将晶体管“导通”。
这是因为 P 沟道MOS管是“倒置”的,其源极端子连接到正电源+VDD。然后,当开关变为低电平时,MOS管变为“ON”,当开关变为高电平时,MOS管变为“OFF”。
P 沟道增强型MOS管开关的这种倒置连接允许我们将其与 N 沟道增强型 MOS管串联连接,以产生互补或 CMOS 开关器件,如上图所示为跨双电源。
MOS开关电路实例2
了解了MOS管的工作原理及其工作区域,就很容易知道MOS管是如何作为开关工作的。通过考虑一个简单的示例电路,将了解 MOS管作为开关的操作。


MOS开关电路图
这是一个简单的电路,其中 N 沟道增强模式MOS管将打开或关闭灯。为了将MOS管用作开关,它必须工作在截止和线性(或三极管)区域。
假设设备最初是关闭的。栅极和源极之间的电压,即 VGS适当地设为正值(从技术上讲,VGS > VTH),MOSFET 进入线性区域并且开关导通。这使灯打开。
如果输入栅极电压为 0V(或技术上 < VTH),则MOS管进入截止状态并关闭。这反过来会使灯关闭。
MOS开关电路实例3
考虑一种情况,如果你想使用微控制器对 12W LED (12V @ 1A) 进行数字控制。当你按下连接到微控制器的按钮时,LED 应打开。当你再次按下相同的按钮时,LED 应熄灭。
很明显,你不能在微控制器的帮助下直接控制 LED。这个时候你就需要一种设备来弥合微控制器和 LED 之间的差距。
该设备应从微控制器接收控制信号(通常该信号的电压在微控制器的工作电压范围内,例如 5V)并为 LED 供电,在这种情况下来自 12V 电源。
而这个设备是MOS管,上述场景的设置如下电路所示。


MOS开关电路图
当逻辑 1(假设为 5V 微控制器,逻辑 1 为 5V,逻辑 0 为 0V)提供给MOS管的栅极时,它打开并允许漏极电流流动。结果,LED 亮起。
类似地,当 MOS管的栅极为逻辑 0 时,它会关闭,进而关闭 LED。
因此,你可以通过微控制器和MOS管的组合对大功率设备进行数字控制。
MOS管开关电路需要注意的因素---MOS管的功耗
需要考虑的一个重要因素是MOS管的功耗??悸且桓雎┰吹缱栉?0.1Ω 的MOS管。在上述情况下,即由 12V 电源驱动的 12W LED 将导致 1A 的漏极电流。
因此,MOS管消耗的功率为 P = I 2 * R = 1 * 0.1 = 0.1W。
这看起来是一个比较低的值,但如果你使用相同的 MOS管驱动电机,情况会略有不同。电机的启动电流(也称为浪涌电流)会非常高。


MOS管驱动电路图
因此,即使 RDS 为 0.1Ω,电机启动期间消耗的功率仍会非常高,这可能会导致热过载。因此,RDS将是你的应用选择 MOS管的关键参数。
此外,在驱动电机时,反电动势是设计电路时必须考虑的重要因素。
使用MOS管驱动电机的主要优点之一是输入 PWM 信号可用于平滑控制电机的速度。
MOS开关电路实例4
下图显示了一个使用 n 沟道增强型MOS管作为开关的简单电路。此处,MOS管的漏极端子 (D)通过漏极电阻RD连接到电源电压 VS ,而其源极端子 (S) 接地。此外,它在其栅极端子 (G) 处施加输入电压Vi ,而输出 Vo从其漏极汲取。


MOS开关电路图
现在考虑施加的Vi为 0V 的情况,这意味着MOS管的栅极端子未偏置。因此,MOS管将关闭并在其截止区域中工作,在该区域中,它为电流提供了一个高阻抗路径,这使得 IDS几乎等于零。
结果,即使RD上的电压降也将变为零,因此输出电压Vo将变得几乎等于VS。接下来,考虑施加的输入电压Vi大于器件的阈值电压VT的情况。在这种情况下,MOS管将开始导通.
如果 V提供的S大于器件的夹断电压 VP(通?;崛绱耍?,则MOS管开始在其饱和区工作。这进一步意味着该器件将为恒定 IDS的流动提供低电阻路径,几乎就像短路一样。结果,输出电压将被拉向低电压电平,理想情况下为零。
从上面的分析可以看出,输出电压在 VS和零之间变化,这取决于所提供的输入分别是小于还是大于 VT。因此,可以得出结论,当使MOS管s在截止和饱和工作区域之间工作时,可以使MOS管起电子开关的作用。
n 沟道耗尽型 MOS管开关电路
与 n 沟道增强型MOS管的情况类似,n 沟道耗尽型 MOS管也可用于执行开关动作,如下图所示。这种电路的行为与上面的解释几乎相同,除了事实上,对于截止,栅极电压 VG需要设为负值,并且应小于 -V。


n 沟道耗尽型 MOS管开关电路图
p 沟道增强型MOS管开关电路
下图显示了将 p 沟道增强型MOS管用作开关的情况。这里可以看出,电源电压 VS施加在其源极端子 (S) 上,栅极端子提供输入电压 Vi,而漏极端子通过电阻RD接地。


p 沟道增强型MOS管开关电路图
此外,从MOS管的漏极端子通过RD获得电路Vo的输出。在 p 型器件的情况下,传导电流将来自空穴,因此会从源极流向漏极 ISD,而不是从漏极流向源极(IDS) 与 n 型器件一样。
现在,让我们假设只有MOS管的栅极电压 VG的输入电压变低。这会导致MOS管开启并为电流提供低(几乎可以忽略不计)电阻路径。
结果,大电流流过器件,导致电阻 RD上的电压降很大。这反过来导致输出几乎等于电源电压VS 。接下来,考虑Vi变高的情况,即当Vi将大于器件的阈值电压(这些器件的 VT将为负值)。在这种情况下MOS管将关闭并为电流提供高阻抗路径。这导致几乎为零的电流导致输出端子处的电压几乎为零。
p 沟道耗尽型MOS管开关电路
与此类似, p 沟道耗尽型MOS管也可用于执行开关动作,如下图所示。该电路的工作原理与上述电路几乎相似,只是此处的截止区域为仅当 Vi = VG为正且超过器件的阈值电压时才会出现。


p 沟道耗尽型MOS管开关电路图
〈烜芯微/XXW〉专业制造二极管,三极管,MOS管,桥堆等,20年,工厂直销省20%,上万家电路电器生产企业选用,专业的工程师帮您稳定好每一批产品,如果您有遇到什么需要帮助解决的,可以直接联系下方的联系号码或加QQ/微信,由我们的销售经理给您精准的报价以及产品介绍
联系号码:18923864027(同微信)
QQ:709211280