沟道长度调制效应是MOS晶体管中栅下沟道预夹断后、若继续增大Vds,夹断点会略向源极方向移动。导致夹断点到源极之间的沟道长度略有减小,有效沟道电阻也就略有减小,从而使更多电子自源极漂移到夹断点,导致在耗尽区漂移电子增多,使Id增大的效应。
以在加栅压Vgs且形成导电沟道的情况下的NMOSFET为例。若漏源电压Vds增大至不可忽略,沟道电压降增大直至Vgd=VT时,由于栅漏之间电压差降低,漏端附近反型层消失,称为沟道夹断。若继续增大Vds,夹断点将向源端移动,故"看起来",有效沟道长度减小,称为沟道调制效应。
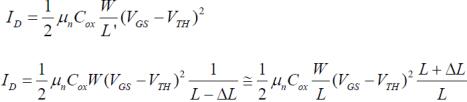
当MOS管工作在饱和区,导电沟道产生夹断,沟道的长度从L变成了L’,
此时电流公式改写为:


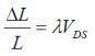
我们采用一个简单的参数λ来表示VDS对漏极电流ID的影响,定义:


由此可以得到考虑了沟道长度调制效应的MOS管饱和区的电流公式:


由于λ∝1/L,对于长沟道的器件而言(例如L>10um), λ的数值很小,λVDS<<1,所以这个误差可以忽略。而沟道越短,这个误差就越大。事实上,对于短沟道的MOS管,用一个简单的参数λ来体现沟道长度调制效应是非常不准确的。因而我们有时会发现,电路仿真的结果和用公式计算出来的结果完全不同。所以说一阶的近似公式更主要的是起到电路设计的指导作用。
此现象得ID/VDS特性曲线在饱和区出现非零斜率,源漏间电流源非理想。
如下图所示


MOS场效应管工作在饱和区,要虑沟道长度调制效应,但是三极管区不存在。
〈烜芯微/XXW〉专业制造二极管,三极管,MOS管,桥堆等,20年,工厂直销省20%,上万家电路电器生产企业选用,专业的工程师帮您稳定好每一批产品,如果您有遇到什么需要帮助解决的,可以直接联系下方的联系号码或加QQ/微信,由我们的销售经理给您精准的报价以及产品介绍
联系号码:18923864027(同微信)
QQ:709211280