密勒补偿的作用是将放大器的主极点向低频移动,同时将非主极点向高频移动,从而实现极点分离。这样做可以减小甚至消除零点对系统稳定性的影响。
在等效电路中,密勒补偿可以使低频极点被压低1+A倍,其中A是密勒电容值。通过这种方式,可以提高系统的相位裕度,从而增强系统的稳定性。
在实际应用中,密勒补偿可以通过添加补偿电阻(通常称为密勒电阻)来实现。补偿电阻的作用是将右半平面的零点移向高频,进一步减小零点对系统稳定性的影响。
密勒补偿
在图1.1(a)中,如果晶体管的电压增益为-A,则电容CF等效到输入节点X的电容为


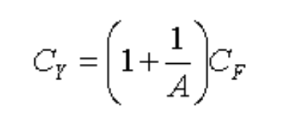
而电容CF等效到输出节点Y的电容为


如果增益A很大,CX近似为ACF,CY近似为CF。


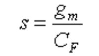
在图1.1(a)中,弥勒补偿电容CF和晶体管形成环路,引入一个零点。按零点的含义,可以理解为是输入电压VX通过两支路到达节点Y,造成的影响互相抵消,即电流i1+i2=0,则有


求得零点为


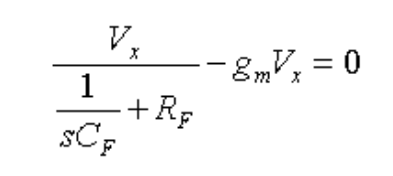
在公式1.1中,该零点为右半平面零点。在图1.2(b)中,与电容CF串上电阻RF,将右半平面零点转为左半平面。则有


求得零点为


在公式1.2中,只要串联电阻RF的阻抗大于1/gm,就可以将公式1.1的右半平面零点转化为左半平面零点,之后随着串联电阻RF的增加,零点的的位置越低。
运算放大器密勒补偿

〈烜芯微/XXW〉专业制造二极管,三极管,MOS管,桥堆等,20年,工厂直销省20%,上万家电路电器生产企业选用,专业的工程师帮您稳定好每一批产品,如果您有遇到什么需要帮助解决的,可以直接联系下方的联系号码或加QQ/微信,由我们的销售经理给您精准的报价以及产品介绍

〈烜芯微/XXW〉专业制造二极管,三极管,MOS管,桥堆等,20年,工厂直销省20%,上万家电路电器生产企业选用,专业的工程师帮您稳定好每一批产品,如果您有遇到什么需要帮助解决的,可以直接联系下方的联系号码或加QQ/微信,由我们的销售经理给您精准的报价以及产品介绍
联系号码:18923864027(同微信)
QQ:709211280