结合实际的电路分析一下电感的充放电时间常数。

电感的充放电时间常数
电感的充放电电路及时间曲线如图 1 所示。

图 1 电感基本充放电电路
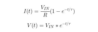
LR 电路中,应对外部激励(直流)变化,电感的电压和电流达到稳定状态需要一定的过程,其波形符合指数变化:电感电流以指数曲线上升,电压由最大值 Vin 处以指数曲线衰减。

其中,
τ = L/R
为时间常数。经历 5 个τ后,电感的电压和电流趋于稳定,特别对于直流来说,此时电感相当于短路,电流达到最大 Imax=V/R。
若此时关断开关,由于不存在回路,则电感的电流也就不存在,存储在电感中的能量以磁场能的形式存储在电感中。
串联电阻对电感时间常数的影响
串联不同阻值的电阻产生的电感充放电时间常数如图 2 所示。

图 2 串联电阻对电感充放电时间常数的影响
根据电感的充放电时间常数可知,串联电阻阻值越大,充放电时间常数就越小。
对于电感而言,指数上升曲线的时间常数定义为电流达到期望值 63%所用的时间,指数衰减曲线的时间常数定义为其值降为初始值 37%时所用的时间。
〈烜芯微/XXW〉专业制造二极管,三极管,MOS管,桥堆等,20年,工厂直销省20%,上万家电路电器生产企业选用,专业的工程师帮您稳定好每一批产品,如果您有遇到什么需要帮助解决的,可以直接联系下方的联系号码或加QQ/微信,由我们的销售经理给您精准的报价以及产品介绍
联系号码:18923864027(同微信)
QQ:709211280