电容的功率损耗
电容在开关电源电路中主要起稳压、滤除输入/输出噪声的作用。与理想的电容模型不同,电容元件的实际物理特性导致损耗的产生,电容的这些损耗降低了开关电源的效率。这些损耗主要表现在三个方面:串联电阻损耗、漏电流损耗和电介质损耗。
(1)等效串联电阻损耗:由于电流在每个开关周期流入、流出电容,电容固有的电阻(RC)将造成一定功耗。
(2)漏电流损耗:由于电容绝缘材料的电阻(RL)导致较小电流流过电容而产生的功率损耗。
(3)电介质损耗:由于电容两端施加了交流电压,电容电场发生变化,从而使电介质分子极化造成功率损耗,此项比较复杂。

图 实际的电容等效模型
三种损耗都体现在电容的典型损耗模型中(图左边部分),用电阻代表每项损耗。与电容储能相关的每项损耗的功率用功耗系数(DF)表示,或损耗角正切(δ)。每项损耗的 DF 可以通过由电容阻抗的实部与虚部比得到,可以将每项损耗分别插入模型中。
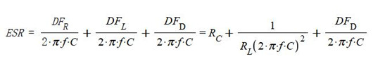
为简化损耗模型,图中的串联电阻损耗、漏电流损耗和电介质损耗集中等为一个等效串联电阻(ESR)。ESR 定义为电容阻抗中消耗有功功率的部分。
推算电容阻抗模型、计算 ESR(结果的实部)时,ESR 是频率的函数。这种相关性可以在下面简化的 ESR 等式中得到证明:

式中,DFR、DFL和 DFD是串联电阻、漏电流和电介质损耗的功耗系数。
利用这个等式,我们可以观察到随着信号频率的增加,漏电流损耗和电介质损耗都有所减小,直到串联电阻损耗从一个较高频点开始占主导地位。在该频点(式中没有包括该参数)以上,ESR 因为高频交流电流的趋肤效应趋于增大。
许多电容制造商提供 ESR 曲线图表示 ESR 与频率的关系。例如,TDK 为其大多数电容产品提供了 ESR 曲线,参考这些与开关频率对应曲线图,得到 ESR 值。
然而,如果没有 ESR 曲线图,可以通过电容数据资料中的 DF 规格粗略估算 ESR。DF 是电容的整体 DF (包括所有损耗),也可以按照下式估算 ESR:

无论采用哪种方法来得到 ESR 值,高 ESR 会降低开关电源效率,既然输入和输出电容在每个开关周期通过 ESR 充电、放电。
这导致 I2 * RESR功率损耗。这个损耗(PCAP(ESR))可以按照下式计算:
PCAP(ESR) = ICAP(RMS)2 * RESR
式中,ICAP(RMS)是流经电容的交流电流有效值 RMS。
对 Buck 变换器的输出电容,可以采用电感纹波电流的有效值 RMS。
对 Buck 变换器的输入滤波电容,RMS 电流的计算比较复杂,可以按照下式得到一个合理的估算值:
ICIN(RMS) = IOUT/VIN * [VOUT (VIN – VOUT)]1/2
显然,为减小电容功率损耗,应选择低 ESR 电容,尤其是在较大纹波电流的时候。ESR 是产生输出电压纹波的主要原因,因此选择低 ESR 的电容不仅仅提高效率,还可以降低输出电压纹波。
一般来说,不同类型电介质的电容具有不同的 ESR 等级。对于给定的容量和额定电压,铝电解电容和钽电容就比陶瓷电容具有更高的 ESR 值。聚酯和聚丙烯电容的 ESR 值介于它们之间,但这些电容尺寸较大,开关电源中很少使用。
对于给定类型的电容,根据 ESR 公式可以看出,较大容量、较低的 DFs 能够提供较低的 ESR。大尺寸电容通常也会降低 ESR,但会带来较大的等效串联电感(例如电解电容),从而降低性能,陶瓷电容被视为比较好的折中选择。此外,电容值一定的条件下,较低的电容额定电压也有助于减小 ESR。
〈烜芯微/XXW〉专业制造二极管,三极管,MOS管,桥堆等,20年,工厂直销省20%,上万家电路电器生产企业选用,专业的工程师帮您稳定好每一批产品,如果您有遇到什么需要帮助解决的,可以直接联系下方的联系号码或加QQ/微信,由我们的销售经理给您精准的报价以及产品介绍
联系号码:18923864027(同微信)
QQ:709211280