超结功率MOSFET输出电容迟滞效应产生原因
超结功率MOSFET技术目前采取多层外延和深沟槽工艺,相对于平面结构,P阱下移形成P柱结构,如图6、图7所示。通常情况,超结功率MOSFET的COSS在充电过程中,超结N柱、P柱最初的移动载流子,会在放电过程中完全消耗尽。
但是,如果在COSS充电阶段,一些移动载流子被隔离滞留,也就是形成滞留电荷(Stranded Charges QSTR),耗尽层扩展不一致,沿着N柱、P柱形成没有耗尽的微小区域,导致充电和放电过程不一致,最终形成迟滞效应,也就是COSS充放电过程中一些能量在内部被消耗。超结功率MOSFET输出电容迟滞效应,和滞留电荷直接相关。

从图5可以发现,超结功率MOSFET输出电容的迟滞效应,与其漏极源极所加电压VDS直接相关,这种效应大多发生在低压阶段,这也表明,超结功率MOSFET输出电容的迟滞效应和超结柱状结构在低于100V发生的三维耗尽有关。
此外,COSS的迟滞效应也和超结功率MOSFET结构相关,内部晶胞单元尺寸越小,迟滞效应越明显。相关文献研究表明:深沟槽结构没有滞留电荷QSTR效应,多层外延结构具有滞留电荷QSTR效应,如图8、图9所示。
图8和图9中,列出了这种结构的仿真电势线分布图Potential line distribution。多层外延结构在动态耗尽过程中,滞留电荷QSTR,出现在N柱和P柱的底部和顶部。
Jaume Roig and Filip Bauwens, Origin of Anomalous COSS Hysteresis in Resonant Converters With Superjunction FETs
这表明:多层外延结构MEMI(Multi implant multi epitaxy)的滞留电荷QSTR效应,比深沟槽结构TFET(Trench filling epitaxial growth)要严重。

超结功率MOSFET输出电容迟滞效应的功耗测量
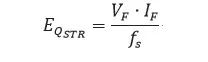
为了得到超结功率MOSFET输出电容迟滞效应所产生的功耗,可以用等效法测量。
超结功率MOSFET输出电容迟滞回线的测量电路和陶瓷电容的测量电路类似,根据电路,在一定输入电压、工作频率fs下稳定工作,测量超结功率MOSFET壳顶的温升ΔT。
然后,在超结功率MOSFET内部寄生二极管通过一定电流IF,使超结功率MOSFET壳顶的温升同样达到ΔT,测量寄生二极管压降VF,则可以得到相应条件下,
输出电容迟滞效应所产生的功耗:

输出电容迟滞效应所产生的能量:

〈烜芯微/XXW〉专业制造二极管,三极管,MOS管,桥堆等,20年,工厂直销省20%,上万家电路电器生产企业选用,专业的工程师帮您稳定好每一批产品,如果您有遇到什么需要帮助解决的,可以直接联系下方的联系号码或加QQ/微信,由我们的销售经理给您精准的报价以及产品介绍
联系号码:18923864027(同微信)
QQ:709211280