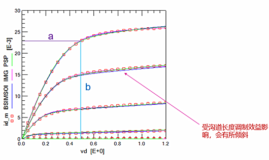
下图给出了MOS idvg idvd的图形,可以得出不同偏置电压情况下器件的趋势,以及偏微分之后GmRout的电学特性。

什么是大信号?

以Idvd曲线为例,对于MOS管来说,大信号所体现的特性是直流的静态工作点。那么其直流阻抗就是V/I=b/a。
什么是小信号?

与大信号与之对应的是小信号,还是以Idvd曲线为例,对于MOS管来说,小信号所体现的特性是大信号的微小变化,也就是交流信号。
那么其交流阻抗是静态工作点的切线斜率,可以写成△V/△I或者?V/?I。
小信号是确定管子工作在的某个区域所体现的微小变化。
大信号和小信号的联系
大信号就是区别管子工作在哪个区域,截止区or亚阈值区or线性区or饱和区。
小信号是确定管子工作在的某个区域所体现的微小变化。


总结:
在电路设计中,大信号和小信号的分析设计到方方面面,比如大信号模型用来看静态工作点、压摆率、THD等等,而小信号更关注增益、带宽、稳定性等等。
大信号和小信号等效模型是电路分析的核心,也是直觉建立不可或缺的至关重要的环节。
〈烜芯微/XXW〉专业制造二极管,三极管,MOS管,桥堆等,20年,工厂直销省20%,上万家电路电器生产企业选用,专业的工程师帮您稳定好每一批产品,如果您有遇到什么需要帮助解决的,可以直接联系下方的联系号码或加QQ/微信,由我们的销售经理给您精准的报价以及产品介绍
联系号码:18923864027(同微信)
QQ:709211280