MOS管小信号模型
小信号是指对偏置的影响非常小的信号,物理上就是MOS管的线性模型。
数学上,MOS小信号模型实际就是一个泰勒展开的过程,找到一个偏置点对电压电流关系求导数,把高阶部分去掉,留下线性部分。
当在加一个小正弦信号

瞬态响应为:

信号传递过程为:

小信号等效模型
在饱和区时MOS管的漏极电流是栅源电压的函数,即为一个压控电流源,电流值为,且由于栅源之间的低频阻抗很高,因此可得到一个理想的MOS管的小信号模型,如图所示。[对于小信号来说,不会变化的电压相当于地,即上端接地]

实际的模拟集成电路中MOS管存在着二阶效应,而由于沟道调制效应等效于漏源之间的电阻;而衬底偏置效应则体现为背栅效应,即可用漏源之间的等效压控电流源表示,因此MOS管在饱和时的小信号等效模型。

其中
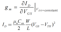
1)gm
gm栅跨导为栅电压对漏电流的控制能力

gm的三种表达式:
其中W/L、ID、VGS-VTH三者只有两个独立元素,可由任意两个元素求出第三个元素

2)gmb
gmb:体现衬偏效应对漏电流的控制作用

γ为体效应系数。在器件模型中,表面势F=2FF和γ均由工厂提供。0.5um工艺中:对NMOS γ=0.4V1/2;对PMOS γ=-0.4V1/2

3)VBS
VBS为负电压,相当于界面与衬底之间加了一反向电压,这使耗尽区变厚,同时也使源/漏区与衬底的PN结的空间电荷区均变宽,因为这两个结的反向偏置电压值为VBS。
在这种条件下,要吸引源、漏区的电子来产生导电层就必须在栅极加更高的正电压,即VTH变大了。该效应也称为“衬偏效应”或 “背栅效应”。
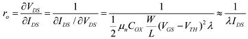
4)ro
MOS管输出电阻ro的改变可以通过改变偏置电流(ID),或者改变W/L的方法实现。

〈烜芯微/XXW〉专业制造二极管,三极管,MOS管,桥堆等,20年,工厂直销省20%,上万家电路电器生产企业选用,专业的工程师帮您稳定好每一批产品,如果您有遇到什么需要帮助解决的,可以直接联系下方的联系号码或加QQ/微信,由我们的销售经理给您精准的报价以及产品介绍
联系号码:18923864027(同微信)
QQ:709211280