电路中的电容应该取多大?介绍两种电路中电容容值计算的方法。
1、在AC-DC的电源中,整流桥后要跟随一个输入滤波电容C,如下图-1。
我们以如何计算这个电容为例。


输入滤波电容C上的波形如上图中的红线所示,当然这是理想情况下的波形,即忽略了整流二极管的内阻。ΔV为电压纹波大小,它根据负载的要求而定义。
2、假设电容输入功率为Pin,充电时间为t充,放电时间为t放=(T-t充)。

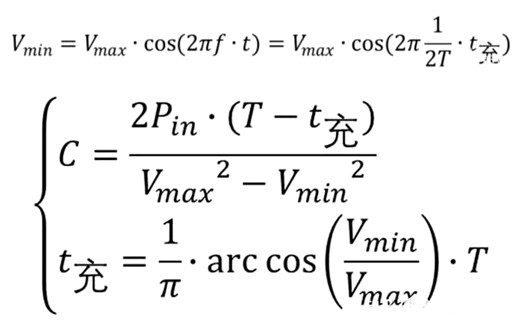
Pin、Vmax,我们可以根据设计要求得到,而Vmin=(Vmax-ΔV),所以再求出t放就可以求出电容C。

如上图-2,根据Vmin在余弦波形中,可得到以下等式从而求出t充。最后根据t放=(T-t充)得到t放。

最后公式整理如上图。

举个例子:假如输入电压为市电:AC220V->DC310V、50Hz,功率为10W,计算输入滤波电容。
解:假设ΔV=30V,则Vmax=310V,Vmin=310-30=280V;T=1/(50·2)=0.01s.代入上述公式可得上图。
功率为10W的电源随处可见,这里计算出来的容值也符合我们的经验。但是这并不是绝对正确的。首先,电网会产生波动,AC220V的电压经常会有所下降;其次,实际的电容会产生损耗,而这里忽略了这个的问题;最后,电容在低温下容量会降低,需要降额。所以这里计算的容值偏低。

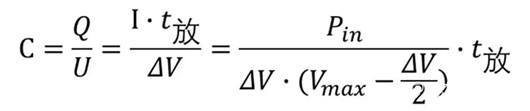
解释一下:Pin/(Vmax-ΔV/2)表示在电容放电期间的平均电流。
这里的t放可以按照方法1计算。有时候我们为了快速计算,经验上可以直接取电容充放电周期的80%。
〈烜芯微/XXW〉专业制造二极管,三极管,MOS管,桥堆等,20年,工厂直销省20%,上万家电路电器生产企业选用,专业的工程师帮您稳定好每一批产品,如果您有遇到什么需要帮助解决的,可以直接联系下方的联系号码或加QQ/微信,由我们的销售经理给您精准的报价以及产品介绍
联系号码:18923864027(同微信)
QQ:709211280