这一部分共需要讨论栅源电压对电流的控制作用、衬源电压对电流的作用以及漏源电压对电流的作用
栅源电压对电流的控制作用(VDS>VGS?VTH)
强反型区又叫平方律区,因为电流IDS表达式满足:


衬源电压VBS对电流的作用(二阶效应:背栅效应)
衬源电压VBS往往不为0,这会引入背栅效应
对于NMOS,当衬源PN结正偏时,会带来闩锁效应(Latch-up),所以VBS<0,背栅效应会导致阈值电压变大,电流IDS减小。
对于PMOS,VBS>0;VTH<0V
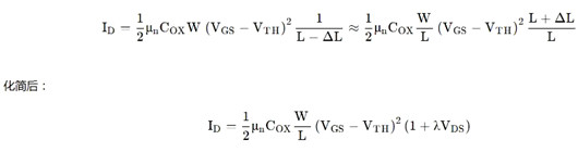
漏源电压VDS对电流的作用(二阶效应:沟道长度调制效应)
当MOS管进入饱和区后,输出电流并不是水平线,而是存在一定的倾斜。这是由于导电沟道产生夹断,有效沟道长度变短。


大信号与小信号
大信号状态与小信号状态是一一对应的。大信号分析是小信号分析的基?。╒GS,VDS,VBS都属于大信号)
当MOS管电压电流随输入信号的变化有较大改变时,认为MOS工作在大信号状态;当MOS电压电流变化不影响电流工作点,则MOS工作在小信号状态。
MOS管小信号模型
gm


上式中,gm为小信号参数,而后面三个等式中的参数均为大信号参数。(由此可见大信号分析是小信号模型分析的基?。?/div>
gm描述了栅源电压对输出电流的控制作用,因为实际应用中往往固定过驱动电压VGS?VTH,所以第三个等式gm=2IDS/VGS?VT使用最多
rDS


结合跨导对应的小信号模型,rDS描述了漏源电压对电流的作用,根据公式


gmb


MOS管单管本征增益


如图所示,共源极放大器,理想电流源作负载,在小信号模型中理想电流源看作开路,该MOS管的增益AV可写作:


由于此处负载为理想电流源,而实际负载不可能阻抗为无穷,因此本征增益是单管放大电路的最大增益。此外,由AV表达式可见,要获得大的增益,需要选择一个大的沟道长度以及尽量小的过驱动电压。一个合适的过驱动电压为0.2V。
事实上,如果追求高速度,MOS管要有一个小的沟道长度,大的过驱动电压。这一矛盾,归根到底是增益和速度的矛盾。
〈烜芯微/XXW〉专业制造二极管,三极管,MOS管,桥堆等,20年,工厂直销省20%,上万家电路电器生产企业选用,专业的工程师帮您稳定好每一批产品,如果您有遇到什么需要帮助解决的,可以直接联系下方的联系号码或加QQ/微信,由我们的销售经理给您精准的报价以及产品介绍
联系号码:18923864027(同微信)
QQ:709211280
相关阅读