MOS管参数计算
设计电路尺寸时,需要用到萨支唐公式,那么如何得到公式中的Vth和unCox呢?
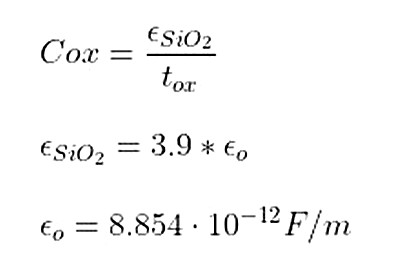
方法1:看工艺的model,一般可以直接找到PMOS和NMOS的Vth0,u0和tox,根据下列公式由tox计算得出Cox,

方法2:搭单个管子的电路,DC扫描栅极输入电压,得到电流值,用matlab处理得到拟合线性曲线,根据斜率和截距,计算unCox、upCox和Vtn、Vtp。
方法3:利用书上的model数据进行估算,以下是allen书上的0.8um Nwell CMOS工艺,可以看到PMOS管和NMOS管的Vt大约为0.7V,unCox=110,upCox=50

〈烜芯微/XXW〉专业制造二极管,三极管,MOS管,桥堆等,20年,工厂直销省20%,上万家电路电器生产企业选用,专业的工程师帮您稳定好每一批产品,如果您有遇到什么需要帮助解决的,可以直接联系下方的联系号码或加QQ/微信,由我们的销售经理给您精准的报价以及产品介绍
联系号码:18923864027(同微信)
QQ:709211280