图一是最简单的RC延时电路,目的是延时点亮LED。R1给C1充电,等电容电压到达三极管基极导通电压大概0.7V时,三极管开通,LED点亮,二极管D1是让C1可以快速放电的作用。

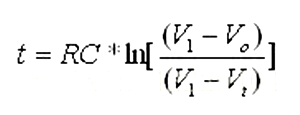
延时时间 ,其中V1为电源电压,V0为电容初始时刻电压,Vt为t时刻电容电压。在这个电路里,V1=5V,V0=0V,Vt=0.7V。延时大概1.5S。
电路虽然结构简单,但是要实现较大的延时就要选用大容量的电容,而且充电电阻R1不能太大,否则三极管不能处于开关状态。

图一

图二
再看图二,主要是多加了一个2.7V的稳压二极管D2,这时候情况就有所改观。可以看到,令三极管开通的电容电压提高了2.7V,也就是说Vt=0.7+2.7=3.4V。代入公式算得延时t=5.7S。
图二中R3电阻是为了把稳压二极管的反向漏电流导走,防止充电过程中三极管微导通。

图三
最后看图三,为了提高延时精度,使用了电压比较器。电容电压作为反相端输入,R3和R2对电源的分压作为同相端输入。初始状态时,V+ > V- ,比较器输出高电平,LED不亮;当电容电压升高到Vt时,V- > V+ ,比较器输出低电平,LED被点亮。
R5是正反馈电阻,可以有效消除输出抖动。要算出延时时间就要先算出Vt,初始状态下,比较器输出高电平,R5相当于与R3并联,于是算出。

这里分压电阻R3和R2采用了特殊的比值,使得取ln刚好为1,这样延时时间仅仅由R1和C1来决定,给计算带来了简便,同时与电源电压V1也没有任何关系。这个电路可以用在延时精度较高的场合。
〈烜芯微/XXW〉专业制造二极管,三极管,MOS管,桥堆等,20年,工厂直销省20%,上万家电路电器生产企业选用,专业的工程师帮您稳定好每一批产品,如果您有遇到什么需要帮助解决的,可以直接联系下方的联系号码或加QQ/微信,由我们的销售经理给您精准的报价以及产品介绍
联系号码:18923864027(同微信)
QQ:709211280