RC与RL充放电时间常数
RC充放电时间常数
串联RC电路的时间常数是一个固定的时间间隔,等于电阻和电容的乘积。其公式为:

式中,τ为RC充放电时间常数,单位是S;R为电阻,单位是Ω;C为电容,单位是F。
RL充放电时间常数
串联RL电路的时间常数是一个固定的时间间隔,等于电感对电阻的比值。其公式为:

式中,τ为RL充放电时间常数,单位是S;L为电感,单位是H;R为电阻,单位是Ω。
RC与RL充放电通用公式
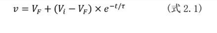
RC与RL充放电瞬时电压通用公式

式中,v是电容器或电感器电压在某个时间的瞬时值,单位是V;VF是电容器或电感器电压终值,单位是V;Vi是电容器或电感器电压的初始值,单位是V;e是自然对数的底,t为充放电时间,单位s;τ为电容器或电感器充放电时间常数,单位是s。
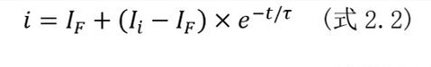
RC与RL充放电瞬时电流通用公式

式中,i是电容器或电感器电流在某个时间t的瞬时值,单位是A;IF是电容器或电感器电流终值,单位是A;Ii是电容器或电感器电流的初始值,单位是A;e是自然对数的底,t为充放电时间,单位s;τ为电容器或电感器充放电时间常数,单位是s。
计算RC充电与放电时间

图1-1 RC充放电电路
例: 图1-1是RC充电与放电电路,请按要求计算下列各题:
【1】 RC充电时间常数和RC放电时间常数分别等于多少?
解:由于充电与放电回路为同一个电容器,并且充电电阻和放电电阻的阻值相同,所以τ充等于τ放,根据RC充放电时间常数公式得:
τ充=τ放 = RC = 1kΩ.1mF = 1S。
答:RC充电时间常数和放电时间常数相等,均为τ=1S。
【2】向左按下S2键给C2两端充满6.3V电压时,需要多长时间?
解:从题意知,向左按下S2, C2的初始电压Vi = 0V,终值电压VF=10V,充电t时间后的瞬时电压v=6.3V,又知第一题求得τ充 = 1S,求充电时间t。将上述已知量代入RC充放电电压通用公式,可得:

求得t≈2S。
答:把C2两端从6.3V电压放到0.88V时,需要2S时间。
〈烜芯微/XXW〉专业制造二极管,三极管,MOS管,桥堆等,20年,工厂直销省20%,上万家电路电器生产企业选用,专业的工程师帮您稳定好每一批产品,如果您有遇到什么需要帮助解决的,可以直接联系下方的联系号码或加QQ/微信,由我们的销售经理给您精准的报价以及产品介绍
联系号码:18923864027(同微信)
QQ:709211280