功率器件的很多动态参数可以从器件的数据手册中获取,但是器件手册只给出特定测试条件下的动态参数。当功率回路电压和电流、驱动回路的电压、电阻和外部电容等参数变化时,器件的开关时间也将产生变化,因此在设计时有必要对器件的特定工况进行双脉冲测试,获取更加真实的性能。
双脉冲测试有以下作用:
(1) 对比不同产品的参数;
(2) 评估驱动电路的功能和性能;
(3) 获取 SiC MOSFET 在开通和关断过程中的主要参数,以评估栅极电阻取值是否合适;
(4) 开通和关断过程是否有不合适的振荡;
(5) 评估二极管的反向恢复特性和安全裕量;
(6) 测试 SiC MOSFET 的电压尖峰;
(7) 评估 SiC MOSFET 并联均流特性;
(8) 测量母排的杂散电感。




其中 RG,int为内部栅极电阻,RG,ext为外部栅极电阻,CGS栅极-源极电容,CGD为栅极-漏极电容,CDS为漏极-源极电容,LG、LD和 LS分别为栅极、漏极和源极的引线电感,CD1为续流二极管结电容,Lloop为功率主回路寄生电感,L 为负载电感。
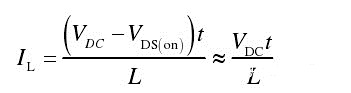
在第一个脉冲信号来临之前,电感电流为 0,SiC MOSFET 阻断并承受直流母线电压。直到 t1时刻,器件开始导通,电感电流按照式规律变化,即随时间按线性规律增加。


式中 VDS(on)---SiC MOSFET 导通压降;
t2 时刻,开关管开始关断并换流至二极管 D1,流经开关管的电流变为 0,负载电感的电流经过二极管 D1续流。
由于续流阶段电流回路存在一定的电阻,电流将会有一定程度的减小,但此阶段极短,而且寄生电阻量很小,因此电流减小量可以忽略,近似认为 t2和 t3时刻电流相等。
t3 时刻,第二个脉冲信号使开关管开通,续流二极管开始关断,电感电流换流至开关管并继续按照线性规律增加。
t4 时刻,开关管再次关断,电流从开关管换流至续流二极管 D1,双脉冲测试结束。
〈烜芯微/XXW〉专业制造二极管,三极管,MOS管,桥堆等,20年,工厂直销省20%,上万家电路电器生产企业选用,专业的工程师帮您稳定好每一批产品,如果您有遇到什么需要帮助解决的,可以直接联系下方的联系号码或加QQ/微信,由我们的销售经理给您精准的报价以及产品介绍
联系号码:18923864027(同微信)
QQ:709211280