在PFC电路中,常用的结构是BOOST电路,功率MOSFET工作在开关状态,将输入的电流斩波为和输入正弦波电压同相位的、具有正弦波包络线的开关电流波形,从而提高输入的功率因数,减小输入谐波分量。
有源功率因数校正PFC电路具有二种工作的模式:连续导通模式CCM和非连续导通模式DCM,控制的方式也各不相同。本文主要推导在连续导通模式CCM下,PFC电路功率MOSFET的电流有效值、平均值计算,以及输出二极管的电流有效值、平均值计算。连续导通模式CCM下,PFC电路输入电感的电流波形如图1所示。

图1:连续导通模式PFC的电感电流
可以看到,在每个开关周期结束的时候,输入电感的电流没有降到0,这样,在下一个开关周期开始、功率MOSFET导通时,输入电感的电流就会从一定值开始激磁,随时间线性增加,这种导通模式称为:连续导通模式、CCM模式。
在连续导通模式CCM工作的PFC电路中,功率MOSFET电流波形包络线,近视为输入正弦电流波形,如图2所示,基于这个波形,来计算功率MOSFET电流的有效值。

图2:功率MOSFET漏极电流的近视包络线
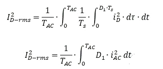
功率MOSFET电流的有效值为:

其中,D1为某一个开关周期的占空比,Ts为开关周期,fs为开关频率。
输入正弦电压、输入正弦电流值为:


功率MOSFET电流平均值、输出二极管电流平均值的计算方法和上面类似,分别计算如下。
功率MOSFET的电流平均值为:

实际应用中,功率MOSFET电流的有效值用来计算其导通损耗。根据功率损耗的分配值,使用导通损耗,计算和选取功率MOSFET的导通电阻RDSON;使用开关损耗,计算和选取功率MOSFET的寄生电容,从而初步确定功率MOSFET的选型。
〈烜芯微/XXW〉专业制造二极管,三极管,MOS管,桥堆等,20年,工厂直销省20%,上万家电路电器生产企业选用,专业的工程师帮您稳定好每一批产品,如果您有遇到什么需要帮助解决的,可以直接联系下方的联系号码或加QQ/微信,由我们的销售经理给您精准的报价以及产品介绍
联系号码:18923864027(同微信)
QQ:709211280