共源共栅结构(cascode structure, CSCG)具有很多特点,在CMOS电路中很常见,以NMOS为例,如图1.1(a)所示。

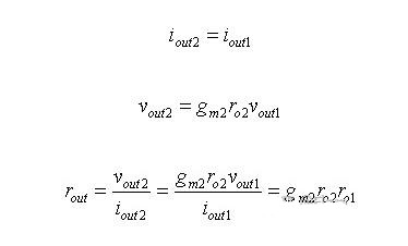
共源共栅结构最大的特点就是输出阻抗大。 共源管下标为1,共栅管下标为2,单个共源管的输出阻抗为ro1,而共源共栅结构的输出阻抗近似为gm2ro1ro2。
怎么理解共源共栅结构的输出阻抗比单个共源管放大了gm2ro2倍?
在图1.1(c)中,单个共栅管的增益求解如下:

在图1.1(b)中,输出阻抗求解过程如下:

由于共源共栅结构的输出阻抗大这个特点,比单个共源管放大了gm2ro2倍,在高增益的运放中,共源共栅结构经常作为输入管和输出负载管以提高电压增益。
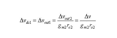
共源共栅管的另一个特点是共源管的源漏电压vds1对输出电压不敏感,当输出电压变化Δv时,Δvds1可表示为:

因此,即便共源共栅结构的输出负载变化很大,只要保证共栅管仍工作在饱和区且有比较大的电压增益,共源管的源漏电压vds1的变化也很小。这一特点使得共源共栅结构经常被应用在电流镜中。
折叠共源共栅结构
在共源共栅结构,共源管将输入电压转换成电流,该电流作为共栅管的输入。同类型的晶体管的共源共栅结构串接即可。不同类型管需要外加偏置电流折叠形成,因此折叠共源共栅一定是PN成对地用。
如果想把图1.1(a)所示的共源共栅结构改成折叠结构,则应把输入管由NMOS管改成PMOS管,同时增加尾电流源,如图1.2(a)所示。
尾电流源通过MOS实现,一般的PMOS管作为输入的折叠共源共栅结构如图1.2(b)所示,其中尾电流ib=i1+i2。

随着电源电压越来越低,在运放中,更经常使用折叠共源共栅结构作为输入管。折叠共源共栅结构的优缺点:输出摆幅大些,输入输出可以短接,较大的功耗,较低的增益,较低的极点频率,较高的噪声。
〈烜芯微/XXW〉专业制造二极管,三极管,MOS管,桥堆等,20年,工厂直销省20%,上万家电路电器生产企业选用,专业的工程师帮您稳定好每一批产品,如果您有遇到什么需要帮助解决的,可以直接联系下方的联系号码或加QQ/微信,由我们的销售经理给您精准的报价以及产品介绍
联系号码:18923864027(同微信)
QQ:709211280