共源共栅级输入噪声原理分析
共源共栅级输入噪声
共源共栅级的输入噪声(只考虑白噪声):

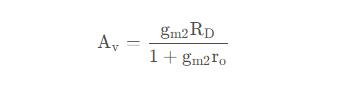
这里M1和RD贡献的输入噪声都比较好算,稍微麻烦一点的就是M2对输入噪声的贡献。先将M2栅极电压变化对输出的增益计算出来。
根据叠加原理,M1栅极接地等效为电阻Ro,那么M2的增益即为带源级负反馈的共源极,采用T-model可以方便的计算出增益:

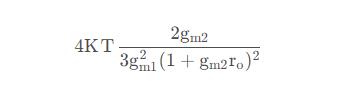
那么对输入噪声的贡献可得到

相对于M1对输入噪声的贡献M2的贡献完全可以忽略
M1与M2对输入噪声贡献的直观对比
这种公式实在是不够直观认识到M2的噪声为啥可以忽略,为了直观的对比M1与M2对输入噪声的贡献程度,搭建了一个共源共栅级,然后分别进行AC仿真,搭建电路参数和仿真结果如下:


从图中可以看出噪声增益相差50多dB,超过100倍了,完全可以忽略M2输入噪声的影响。
〈烜芯微/XXW〉专业制造二极管,三极管,MOS管,桥堆等,20年,工厂直销省20%,上万家电路电器生产企业选用,专业的工程师帮您稳定好每一批产品,如果您有遇到什么需要帮助解决的,可以直接联系下方的联系号码或加QQ/微信,由我们的销售经理给您精准的报价以及产品介绍
联系号码:18923864027(同微信)
QQ:709211280