了解共栅级和共源级两种放大器的小信号增益的联系和区别,对共栅级放大器主要是本征增益一项进行考察,用通用公式来考察共栅级。
通用公式

输入电阻为零的共栅级
上文共源级中对于输入电阻没有提及的原因时共栅级的输入阻抗在低频中一般认为是 ∞ ,不考虑。对于共栅级,输入信号直接接入电路中,需要考虑输入电阻。

左图中是直接耦合的共栅级,V b接固定电位,以电阻R D为负载。右图为小信号等效电路(做图水平拙劣),栅极接地,漏端输出。该图的输出电阻(V i n = 0时两压控电流源都为零)很显然为 r 0,负载电阻为 R D 。
在上述条件都交代清楚的的时候,此时按我们的公式,只差源端输入的本征增益了。对于共源级电路,本征增益为 g m ? r o,该增益反应的时栅源电压作为控制电压对于MOS管漏电流的影响,所以我们想要知道共栅级的本征增益就需要考察衬源电压(背栅)对于MOS管漏电流的影响。
对于本征增益的理解
同样的,栅源电压和背栅电压都是通过压控电流源的方式改变漏电流,所以首先会存在一个背栅电压引发的增益 g m b ? r o 。问题来了,背栅电压的存在仅仅引起这部分增益么?
显然不是,我们从小信号电路中看到,由于背栅电压的存在,栅源电压也被抬升到与背栅电压相同的电位,所以引起了相同数量的第二部分的增益 g m ? r o,最后,**由于输入信号直接接入到电路中,由于沟道电阻的作用,还有一个电路本身的增益 1 **。
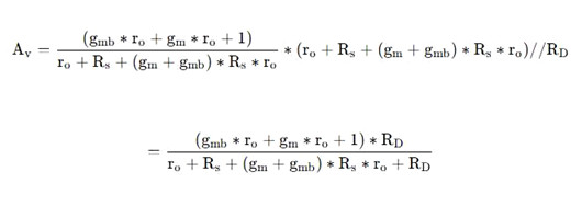
所以,综上所述,整个由于背栅电压引起的增益之和为( g m b ? r o + g m ? r o + 1 ) 。
所以我们可以通过公式得到结果:

将该结果与共源级的电阻负载放大器相比,发现共栅级输入的增益要大一些(本征增益比1大一到两个数量级,而背栅跨导比栅源跨导要小一个数量级,所以二者整体相差并没有很大)。
考虑输入电阻的共栅级

在结构上,我们看到该小信号电路与共源级非常相似,仅仅是输入从栅源端改到了衬源端,电路本身的属性(空载和带载输出电阻)并没有发生变化,空载输出电阻为[r o + R s + ( g m + g m b ) ? R s ? r o ]所以我们从公式直接得出结论。

在将两种放大器进行比较之后,我们得到一些结论:两者在放大方式上类似,都是通过电压控制输出漏电流来驱动负载实现放大,但两者的放大能力又不相同,共栅级的漏电流来源于多处,故比共源级放大能力更强。而共源级放大方式单纯,对于电路的改变较小,便于分析,同时也避免了体效应。
〈烜芯微/XXW〉专业制造二极管,三极管,MOS管,桥堆等,20年,工厂直销省20%,上万家电路电器生产企业选用,专业的工程师帮您稳定好每一批产品,如果您有遇到什么需要帮助解决的,可以直接联系下方的联系号码或加QQ/微信,由我们的销售经理给您精准的报价以及产品介绍
联系号码:18923864027(同微信)
QQ:709211280