折叠式共源共栅结构
共源共栅级由共源级实现电压到电流的转换,然后电流信号加到共栅级的源端。因此,构成共源共栅级时共源管和共栅管类型可以不同。
如图3.0.2.1,M1是输入器件:PMOS;M2是共源共栅器件:NMOS;I1为直流偏置电流源。


折叠式共源共栅结构具有输出阻抗高、增益高等优点,但同时折叠式共源共栅级直流功耗大。
共源共栅放大器频率特性分析
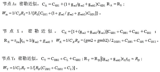
节点近似法分析三个节点:A、X、Y,如图3.1.1.1所示。


在这三个极点中,其中Win一般不考虑,在设计电路时,Wx选择在高频处。因此:Wy是主极点,传输函数是单极点函数。
折叠式共源共栅放大器
目前共源共栅放大器已经逐渐取代了传统的套筒式运放,因为共源共栅放大器的输出摆幅明显比它更大,而且易于对输入与输出进行操作如图3.1.2.4所示,为一个PMOS的共源共栅放大器。

〈烜芯微/XXW〉专业制造二极管,三极管,MOS管,桥堆等,20年,工厂直销省20%,上万家电路电器生产企业选用,专业的工程师帮您稳定好每一批产品,如果您有遇到什么需要帮助解决的,可以直接联系下方的联系号码或加QQ/微信,由我们的销售经理给您精准的报价以及产品介绍
联系号码:18923864027(同微信)
QQ:709211280