为了保证在有输入信号时,场效应管始终工作在放大区(恒流区),同晶体管一样,场效应管放大电路也要建立合适的静态工作点。所不同的是,场效应管是电压控制器件,因此它需要有合适的栅源电压。根据不同类型的场效应管对栅源电压 UGS 的要求,通常偏置形式有两种:
一种是只适合结型和耗尽型场效应管的自偏压电路
一种是用于各种类型场效应管的分压式偏置电路
1. 自给偏压式电路

自给偏压方式适合于结型场效应管和耗尽型场效应管
由耗尽型MOS管的特性可知,即使UGS = 0,在相应的电压 UDS 作用下也有漏极电流 ID。
在图所示电路中,当ID流过源极电阻R时会产生压降 USQ = IDQ * R,由于栅极电流为零,从而使R电流为零,所以栅极电位VGQ = 0,因此栅-源静态电压为

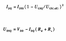
静态工作点分析:
由以下公式能算出 IDQ 和 UDSQ

2. 分压式自偏压电路
上图所示的电路简单,也有一定的稳定工作点的作用。但Ra的取值不能取得很大,否则将使负偏压过高,放大倍数下降,并产生严重的非线性失真。
所示的电路为N沟道增强型MOS管共源放大电路,所示电路的改进电路,在它的栅极上加接了一个正电位,即通过电阻Rg1、Rg2分压后经Rg3加至栅极 go由于栅极加了一个正电位,则可将接在源极s的Rs的阻值适当加大,使静态工作点Q不至于过低,且稳定度大大提高。

栅极、源极电位分别为:

因此栅-源电压:

再根据 IDQ 与 UGSQ 之间的关系:

其他变量就能算出来。
〈烜芯微/XXW〉专业制造二极管,三极管,MOS管,桥堆等,20年,工厂直销省20%,上万家电路电器生产企业选用,专业的工程师帮您稳定好每一批产品,如果您有遇到什么需要帮助解决的,可以直接联系下方的联系号码或加QQ/微信,由我们的销售经理给您精准的报价以及产品介绍
联系号码:18923864027(同微信)
QQ:709211280