MOS管静态功耗步骤
如下图所示的NMOS反相器,现在要计算其静态功耗。

当输入信号为高电平时,NMOS闭合,但是又不是一个理想的开关,所以有开关电阻RON。

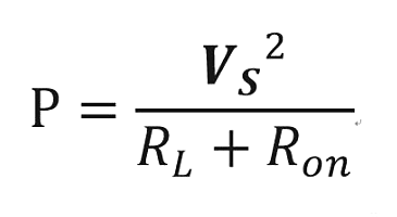
所以,当输入为高电平时,静态功耗为下图所示:

当输入为低电平时,此时NMOS是理想的断开,此时电路如下图所示。

由于电路中没有电流,所以功耗为0。

所以对于本有NMOS构成的反相器而言,静态功耗为:

当忽略掉该直流导通电阻RON时,则静态功耗为:

如何理解mosfet静态功耗低,三极管功耗为什么又比mos管功耗高,速度比mos管慢?
功耗是因为三极管做开关时,要一个Ib维持。而mos管是压控device,基本上不消耗电流。
速度是因为,mos管压控时,得等大gate上电荷积累到vth后,电路才导通;而三极管是电流控制,导通时间比mos管的小的多。
〈烜芯微/XXW〉专业制造二极管,三极管,MOS管,桥堆等,20年,工厂直销省20%,上万家电路电器生产企业选用,专业的工程师帮您稳定好每一批产品,如果您有遇到什么需要帮助解决的,可以直接联系下方的联系号码或加QQ/微信,由我们的销售经理给您精准的报价以及产品介绍
联系号码:18923864027(同微信)
QQ:709211280