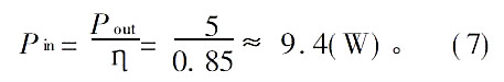
由变换器预定技术指标可知变压器初级侧电压Vdcmin= 240 V, Vdcmax= 380 V, 预设效率η= 85%, 工作频率f = 65 kHz, 电源输出功率P out= 25 W。
变压器的输入功率:

根据面积乘积法来确定磁芯型号, 为了留有一定裕量, 选用锰锌铁氧体磁芯EE25/ 20,电感量系数A L=1750 nH/ N2 , 初始磁导率μi= 2300, 有效截面积A e= 42.2 mm2 .
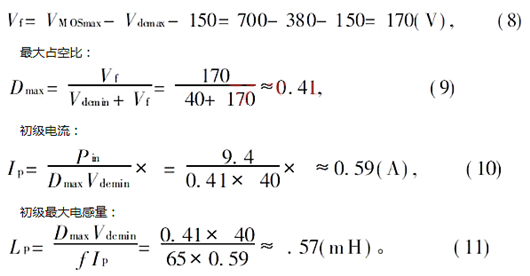
因为所选的MOS管的最大耐压值V MOSmax= 700 V.在150 V 裕量条件下所允许的最大反射电压:

其中, f 是开关频率, Hz.

其中, 磁感应强度Bw= 0?? 23 T ; 由于此变换器设计在断续工作模式k= 1( 连续模式k= 0.5)。

其中, Va 是辅助绕组电压,V .
为了减小变压器漏感, 采用夹心式绕法, 初级绕组分N p1 ( 78 T ) 和N p2 ( 78 T) 两部分绕制,
如图4 所示, Np1 绕在骨架最里层, 次级绕组N s绕在N p1和N p2之间, 辅助绕组绕Na 在最外层。

图4 变压器绕制示意图
电话:18923864027(同微信)
QQ:709211280
〈烜芯微/XXW〉专业制造二极管,三极管,MOS管,桥堆等,20年,工厂直销省20%,上万家电路电器生产企业选用,专业的工程师帮您稳定好每一批产品,如果您有遇到什么需要帮助解决的,可以直接联系下方的联系号码或加QQ/微信,由我们的销售经理给您精准的报价以及产品介绍