讨论:是否可以用下面的公式计算电机驱动器IC的功耗?
(IC电路电流+流过电机的电流)×电源电压
乍一看貌似没问题,但实际上是不正确的。“IC电路电流×电源电压”虽然不错,但“流过电机的电流×电源电压”中却含有电机的功耗,因此,正确的做法是应先求出电机驱动器IC的输出功耗,再加上IC电路的功耗。
输出功耗通过“损耗电压×输出电流”来计算。便于理解,给出了线性稳压器IC的功耗计算公式作为简单示例。
线性稳压器IC的功耗=自身功耗(Vin×Iin)+输入输出电压差(Vin-Vout)×输出电流(IO)
在该公式中,Iin是技术规格书中被称为“Icc”或“Iq”等的电流,是从Vin引脚流到IC内部的输出稳压控制电路并被消耗的电流。下一项“输入输出电压差×输出电流”是输出损耗(消耗)功率。
例如,在运算放大器IC的输出电流未达到毫安级别的情况下,即使通过“电源电压×电源电流”来计算,也不会对其误差产生很大的影响,但对于电源IC或电机驱动器IC这类需要供应较大输出电流的IC来说,如果按照“电源电压×输出电流”来计算,则会产生很大误差。
这样的说明虽然貌似有些绕弯,但是电机驱动器IC的功耗计算也是相同的思路。
有刷电机驱动器的功耗计算方法
下面将以有刷电机驱动器IC为例来说明功耗计算公式。有刷电机驱动器IC的典型驱动方法包括恒压驱动和PWM驱动,因此先来介绍恒压驱动。
①恒压驱动时的功耗计算
恒压驱动的情况下,有刷电机驱动器IC的功耗Pc基本上可以通过以下公式求得:
Pc=小信号部电路电流×电源电压+流过电机的电流×(高边输出间的电压+低边输出间的电压)
下图是表示功耗发生在哪部分以及功耗的产生机制示意图。

标为“小信号部”的部分是有刷电机驱动器IC的控制电路,设这部分的电路电流为Icc、电源电压为Vcc、流过电机的电流为IO。此外,Q1~Q4的MOSFET在输出段的H桥电路中。
小信号部电路的功耗可以简单地通过Icc×Vcc来计算。
H桥部分是高边Q1和低边Q4导通,IO从Vcc经由Q1流向电机,并经由Q4流向GND。需要求此时的H桥的功耗(损耗)。
MOSFET的导通状态可以等效地视为电阻器,其阻值为MOSFET的导通电阻Ron。
假设高边Q1的导通电阻为RonH、低边Q4的导通电阻为RonL,则各输出之间的电压可用以下公式来表示。
高边输出间的电压VH=IO×RonH
低边输出间的电压VL=IO×RonL
由此,即可通过以下公式来计算功耗Pc。
Pc=Icc×Vcc+Io×(VH+VL)=Icc×Vcc+IO2×(RonH+RonL)
虽然测量实际VH和VL的方法很实用,但是由于MOSFET的Ron已在技术规格书中给出,因此使用最大值来计算即可预估最差的情况。
②PWM驱动时的功耗计算
首先,请看PWM驱动时的工作等效电路及其工作电压和电流波形。工作等效电路的左侧是施加电压时各MOSFET的状态示例,右侧是电流再生时各MOSFET的状态示例(省略了不影响工作的MOSFET)。

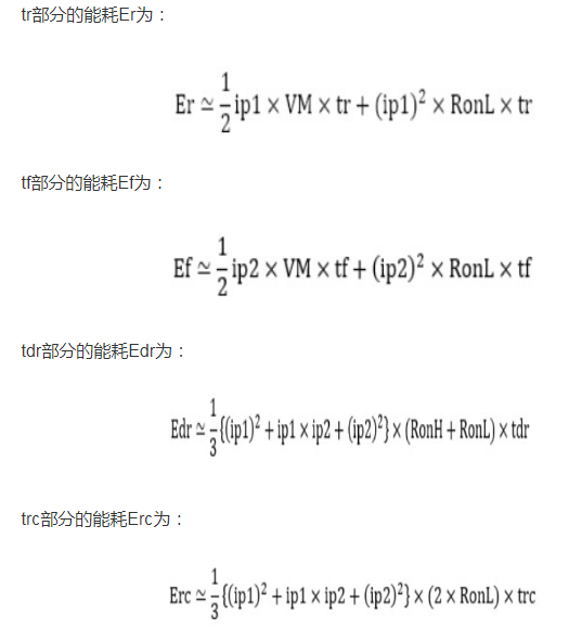
对于输出OUT1来说,一个PWM周期(tpwm)中的工作分为以下四个部分:
tr:从低电平转换为高电平的时间
tdr:维持高电平并供给电流的时间
tf:从高电平转换为低电平的时间
trc:维持低电平并再生电流的时间
而对于输出OUT2来说,则始终处于低电平工作状态。
为便于思考,假设在这些工作中当输出从高电平转换为低电平或从低电平转换为高电平时的电压变化是直线,而在此期间电流恒定不变。此外,设施加电压时和电流再生时的电流变化也是直线(参见上图中的波形)。
电压变化部分的能耗是电压部分的时间函数与电流部分的时间函数的积在时间区间内的积分。电流变化部分的功耗是电流部分的时间函数的平方与总电阻的积在时间区间内的积分。


也就是说,在一个PWM工作周期内,电流回路中驱动时段与再生时段的变化所产生的功耗,就是在这个周期内,驱动时段与再生时段各自的时间占比内功耗的和。
有刷电机驱动器的PWM驱动施加的是脉冲而不是像有刷电机驱动器恒压驱动那样施加恒定电压,因此有刷电机驱动器PWM驱动的计算公式有些复杂,希望能以此为例来理解其思路。
电话:18923864027(同微信)
QQ:709211280
〈烜芯微/XXW〉专业制造二极管,三极管,MOS管,桥堆等,20年,工厂直销省20%,上万家电路电器生产企业选用,专业的工程师帮您稳定好每一批产品,如果您有遇到什么需要帮助解决的,可以直接联系下方的联系号码或加QQ/微信,由我们的销售经理给您精准的报价以及产品介绍