滤波器是一种选频装置,可以使信号中特定的频率成分通过,而极大地衰减其它频率成分。在测试装置中,利用滤波器的这种选频作用,可以滤除干扰噪声或进行频谱分析。从广义上讲,任何一种信息传输的通道(媒质)都可视为是一种滤波器。那么滤波器的分类有哪些?它们的特点又是如何的?下面我们一起来看看:
1.根据滤波器的选频作用分类
1.1低通滤波器
从0~f2频率之间,幅频特性平直,它可以使信号中低于f2的频率成分几乎不受衰减地通过,而高于f2的频率成分受到极大地衰减。

低通滤波器
1.2高通滤波器
与低通滤波相反,从频率f1~∞,其幅频特性平直。它使信号中高于f1的频率成分几乎不受衰减地通过,而低于f1的频率成分将受到极大地衰减。

高通滤波器
1.3带通滤波器
它的通频带在f1~f2之间。它使信号中高于f1而低于f2的频率成分可以不受衰减地通过,而其它成分受到衰减。

带通滤波器
1.4带阻滤波器
与带通滤波相反,阻带在频率f1~f2之间。它使信号中高于f1而低于f2的频率成分受到衰减,其余频率成分的信号几乎不受衰减地通过。

带阻滤波器
低通滤波器和高通滤波器是滤波器的两种最基本的形式,其它的滤波器都可以分解为这两种类型的滤波器,例如:低通滤波器与高通滤波器的串联为带通滤波器,低通滤波器与高通滤波器的并联为带阻滤波器。

低通滤波器与高通滤波器的串联

低通滤波器与高通滤波器的并联
2.根据“最佳逼近特性”标准分类
2.1巴特沃斯滤波器

巴特沃斯滤波器的幅频特性图
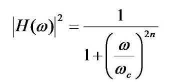
从幅频特性提出要求,而不考虑相频特性。巴特沃斯滤波器具有最大平坦幅度特性,其幅频响应表达式为:

n为滤波器的阶数;wc为滤波器的截止角频率,
当w=wc时,|H(wc)|2=1/2,所以,wc对应的是
滤波器的-3db点。
巴特沃思低通滤波器是以巴特沃思函数作为滤波器的传递函数H(s),以最高阶泰勒级数的形式逼近滤波器的理想矩形特性。
2.2切比雪夫滤波器

切贝雪夫滤波器的幅频特性图
切贝雪夫滤波器也是从幅频特性方面提出逼近要求的,其幅频响应表达式为:

ε是决定通带波纹大小的波动系数,0<ε<1,波纹的产生是由于实际滤波网络中含有电抗元件;wc 是通带截止频率,Tn是n阶切贝雪夫多项式。
与巴特沃斯逼近特性相比较,这种特性虽然在通带内有起伏,但对同样的n值在进入阻带以后衰减更陡峭,更接近理想情况。ε值越小,通带起伏越小,截止频率点衰减的分贝值也越小,但进入阻带后衰减特性变化缓慢。切贝雪夫滤波器与巴特沃斯滤波器进行比较,切贝雪夫滤波器的通带有波纹,过渡带轻陡直,因此,在不允许通带内有纹波的情况下,巴特沃斯型更可取;从相频响应来看,巴特沃斯型要优于切贝雪夫型,通过上面二图比较可以看出,前者的相频响应更接近于直线。
2.3贝塞尔滤波器
只满足相频特性而不关心幅频特性。贝塞尔滤波器又称最平时延或恒时延滤波器。其相移和频率成正比,即为一线性关系。但是由于它的幅频特性欠佳,而往往限制了它的应用。

贝塞尔滤波器的幅频特性图
3.按所采用的元器件分类
3.1无源滤波器
无源滤波器仅由无源元件组成的滤波器,它是利用电容和电感元件的电抗随频率的变化而变化的原理构成的。
这类滤波器的优点是:电路比较简单,不需要直流电源供电,可靠性高;
缺点是:通带内的信号有能量损耗,负载效应比较明显,使用电感元件时容易引起电磁感应,当电感L较大时滤波器的体积和重量都比较大,在低频域不适用。

无源滤波器
3.2有源滤波器
有源滤波器由无源元件和有源器件组成。
这类滤波器的优点是:通带内的信号不仅没有能量损耗,而且还可以放大,负载效应不明显,多级相联时相互影响很小,利用级联的简单方法很容易构成高阶滤波器,并且滤波器的体积小、重量轻、不需要磁屏蔽;
缺点是:通带范围受有源器件的带宽限制,需要直流电源供电,可靠性不如无源滤波器高,在高压、高频、大功率的场合不适用。

有源滤波器
4.按所处理的信号分为类
4.1数字滤波器
数字滤波器是由数字乘法器、加法器和延时单元组成的一种算法或装置。数字滤波器的功能是对输入离散信号的数字代码进行运算处理,以达到改变信号频谱的目的。主要特点:
(1)对外界环境不太敏感,具有更高的可靠性。
(2)可以实现精确的线性相位和多速率处理等模拟滤波器无法实现的功能。
(3)只要提高字长,可以实现任意精度的信号处理。
(4)实现更加灵活,并能同时进行信号的存储。
(5)数字处理的信号的频域宽度要受到采样率的限制。

数字滤波器
4.2模拟滤波器
能对模拟或连续时间信号进行滤波的电路和器件。按工作频率可分为集总常数和分布常数两类;按滤波器中是否有有源器件,也可分为无源和有源两类。与模拟滤波器相对应的是数字滤波器。
模拟滤波器一般由硬件电路来实现,利用电容,电阻,电感等模拟器件搭建,处理的信号主要是频域上连续的模拟信号,电路计算,测试,调试过程复杂。缺点是:模拟滤波器存在电压漂移、温度漂移和噪声大问题。

模拟滤波器
本文总结了滤波器的分类以及各自的特点。如果使用一个现成的滤波器,可以调用过去积累的滤波器数据库,比对滤波器参数,找到一个合适的滤波器。如果没有合适的或者想专门设计一个专用滤波器,可以借助专用的滤波器设计软件。
电话:18923864027(同微信)
QQ:709211280
〈烜芯微/XXW〉专业制造二极管,三极管,MOS管,桥堆等,20年,工厂直销省20%,上万家电路电器生产企业选用,专业的工程师帮您稳定好每一批产品,如果您有遇到什么需要帮助解决的,可以直接联系下方的联系号码或加QQ/微信,由我们的销售经理给您精准的报价以及产品介绍