一:三极管共射级放大电路
三极管共射级放大器是最常用的放大器电路,共射级放大电路如下:


由模拟电路设计系列讲座十二可知三极管的高频等效模型如下:


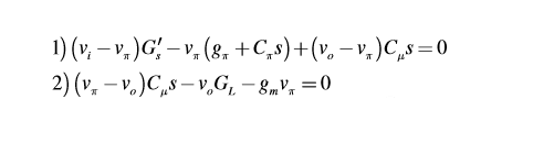
根据电路原理可得电压节点方程:

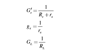
其中:


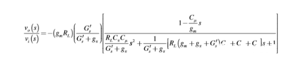
其中:

由以上可得出:


1)第一项gmRL就是直流电压增益
2)第二项是由rΠ、rx与Rs带来的电压衰减(分压)
3)此传含有一个右半平面零点,频率点位于gm/Cμ,此频率点频率甚高,远远大于三极管的wT,因此分析过程中我们可以忽略此高频零点
4)由此传含可知该传含有两个极点
二:共射级放大电路单极点等效模型
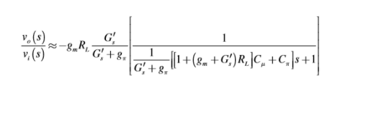
忽略右半平面高频零点,另外由三极管的带宽限制,可以得到三极管共射级放大电路单极点等效模型如下:


其中Cμ被放大了1+(gm+Gs')RL倍,也就是说输入与输出之间的反馈电容被放大了1+(gm+Gs')RL倍,这就是米勒效应。


三:米勒效应的进一步探讨
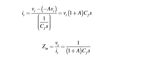
如图(a),电容Cf跨界于负反馈反放大电路两端,放大器增益(放大倍数)为-A。


由图(b),我们可以求出此放大器的输入阻抗:


因此放大器的负反馈效应使得放大器的输入电容为反馈电容的1+A倍,A 为放大器的增益,这就是著名的米勒效应。
电话:18923864027(同微信)
QQ:709211280
烜芯微专业制造二极管,三极管,MOS管,桥堆等20年,工厂直销省20%,上万家电路电器生产企业选用,专业的工程师帮您稳定好每一批产品,如果您有遇到什么需要帮助解决的,可以点击右边的工程师,或者点击销售经理给您精准的报价以及产品介绍
电话:18923864027(同微信)
QQ:709211280
烜芯微专业制造二极管,三极管,MOS管,桥堆等20年,工厂直销省20%,上万家电路电器生产企业选用,专业的工程师帮您稳定好每一批产品,如果您有遇到什么需要帮助解决的,可以点击右边的工程师,或者点击销售经理给您精准的报价以及产品介绍