CMOS接口电路
光电耦合器(opticalcoupler,英文缩写为OC)亦称光耦合器,简称光耦。光耦合器以光为媒介传输电信号。它对输入、输出电信号有良好的隔离作用,所以,它在各种电路中得到广泛的应用。目前它已成为种类最多、用途最广的光电器件之一。光耦合器一般由三部分组成:光的发射、光的接收及信号放大。输入的电信号驱动发光二极管(LED),使之发出一定波长的光,被光探测器接收而产生光电流,再经过进一步放大后输出。这就完成了电-光-电的转换,从而起到输入、输出、隔离的作用。由于光耦合器输入输出间互相隔离,电信号传输具有单向性等特点,因而具有良好的电绝缘能力和抗干扰能力。又由于光耦合器的输入端属于电流型工作的低阻元件,因而具有很强的共模抑制能力。
所以,它在长线传输信息中作为终端隔离元件可以大大提高信噪比。在计算机数字通信及实时控制中作为信号隔离的接口器件,可以大大增加计算机工作的可靠性。光耦合器的主要优点是:信号单向传输,输入端与输出端完全实现了电气隔离隔离,输出信号对输入端无影响,抗干扰能力强,工作稳定,无触点,使用寿命长,传输效率高。光耦合器是70年代发展起来产新型器件,现已广泛用于电气绝缘、电平转换、级间耦合、驱动电路、开关电路、斩波器、多谐振荡器、信号隔离、级间隔离、脉冲放大电路、数字仪表、远距离信号传输、脉冲放大、固态继电器(SSR)、仪器仪表、通信设备及微机接口中。在单片开关电源中,利用线性光耦合器可构成光耦反馈电路,通过调节控制端电流来改变占空比,达到精密稳压目的。


CMOS与开关放大器的接口电路
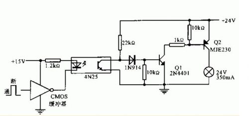
假如CMOS电路的负载(执行元件)是继电器,则电路必需具有较大的带负载才能。图7-6所示为非门驱动一个分立元件的开关放大器件的接口电路。
图7-6(a)、(b)中三极管的集电极负载为继电器KA线圈。其工作电流为lOOmA。若晶体管的β=25,则需求4mA的基极电流。这对与非门来说是个拉电流负载。如与非门不能提供这样大的拉电流,可采用图7-6(b)所示的电路。由电阻Ri、二极管VD1和稳压管Vs组成变换电路。当与非门输出高电平常,VD1截止。VS击穿,晶体管VT的基极电流由+15V电源经R1、VS和V1的发射结来提供,VT导通,继电器KA吸合。当与非门输出低电1平常,灌电流经+15V电源经R1、VDi流入与非门,这个电流只要几毫安,这样可防止冈拉电流过大而惹起输出高电平的降落。这时VS截止,VT截止,KA释放。


在图7—6(a)所示电路中,R2普通可取4.7~10kΩ,简化时也可不用。R1的选取应使晶体管取得足够的基极电流而到达饱和。设继电器KA的工作电流为Ic=50mA,晶体管的β=30,而普通CMOS输出高电平Uoh=2.7~4.2V,则


式中Ube一——管的正向压降,普通取o.65-0.75V。
关于图7-6(c)所示电路,由三极管VT1,VT2组成达林顿电路。其放大倍数β=β1β2(β1、β2分别为VT1和VT2的放大倍数),VT1所需求的基极电流为


电阻R1、R2可按下式选?。?br />

烜芯微专业制造二极管,三极管,MOS管,桥堆等20年,工厂直销省20%,4000家电路电器生产企业选用,专业的工程师帮您稳定好每一批产品,如果您有遇到什么需要帮助解决的,可以点击右边的工程师,或者点击销售经理给您精准的报价以及产品介绍

烜芯微专业制造二极管,三极管,MOS管,桥堆等20年,工厂直销省20%,4000家电路电器生产企业选用,专业的工程师帮您稳定好每一批产品,如果您有遇到什么需要帮助解决的,可以点击右边的工程师,或者点击销售经理给您精准的报价以及产品介绍