大多数开关电源输出都是直流电压,因此,一般开关电源的输出电路都带有整流滤波电路。图1-2是带有整流滤波功能的串联式开关电源工作原理图。


图1-2是在图1-1-a电路的基础上,增加了一个整流二极管和一个LC滤波电路。其中L是储能滤波电感,它的作用是在控制开关K接通期间Ton限制大电流通过,防止输入电压Ui直接加到负载R上,对负载R进行电压冲击,同时对流过电感的电流iL转化成磁能进行能量存储,然后在控制开关K关断期间Toff把磁能转化成电流iL继续向负载R提供能量输出;C是储能滤波电容,它的作用是在控制开关K接通期间Ton把流过储能电感L的部分电流转化成电荷进行存储,然后在控制开关K关断期间Toff把电荷转化成电流继续向负载R提供能量输出;D是整流二极管,主要功能是续流作用,故称它为续流二极管,其作用是在控制开关关断期间Toff,给储能滤波电感L释放能量提供电流通路。
在控制开关关断期间Toff,储能电感L将产生反电动势,流过储能电感L的电流iL由反电动势eL的正极流出,通过负载R,再经过续流二极管D的正极,然后从续流二极管D的负极流出,最后回到反电动势eL的负极。
对于图1-2,如果不看控制开关K和输入电压Ui,它是一个典型的反г 型滤波电路,它的作用是把脉动直流电压通过平滑滤波输出其平均值。
图1-3、图1-4、图1-5分别是控制开关K的占空比D等于0.5、 0.5时,图1-2电路中几个关键点的电压和电流波形。图1-3-a)、图1-4-a)、图1-5-a)分别为控制开关K输出电压uo的波形;图1-3-b)、图1-4-b)、图1-5-b)分别为储能滤波电容两端电压uc的波形;图1-3-c)、图1-4-c)、图1-5-c)分别为流过储能电感L电流iL的波形。




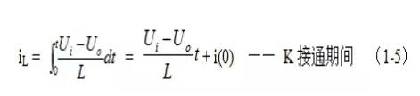
在Ton期间,控制开关K接通,输入电压Ui通过控制开关K输出电压uo,然后加到储能滤波电感L和储能滤波电容C组成的滤波电路上,在此期间储能滤波电感L两端的电压eL为:
eL = Ldi/dt = Ui – Uo —— K接通期间 (1-4)
式中:Ui输入电压,Uo为直流输出电压,即:电容两端的电压uc的平均值。
在此顺便说明:由于电容两端的电压变化量ΔU相对于输出电压Uo来说非常小,为了简单,我们这里把Uo当成常量来处理。在某种情况下,如需要对电容的初次充、放电过程进行分析时,必须需要建立微分方程,并求解。因为输出电压Uo的建立需要一定的时间,精确计算得出的结果中一般
都含有指数函数项,当令时间变量等于无穷大时,即电路进入稳态时,再对相关参量取平均值,其结果就基本与(1-4)相等。
对(1-4)式进行积分得:


式中i(0)为控制开关K转换瞬间(t = 0时刻),即:控制开关K刚接通瞬间流过电感L的电流,或称流过电感L的初始电流。
当控制开关K由接通期间Ton突然转换到关断期间Toff的瞬间,流过电感L的电流iL达到最大值:
iLm =(Ui-Uo)Ton/L + i(0) —— K关断前瞬间 (1-6)
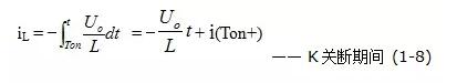
在Toff期间,控制开关K关断,储能电感L把磁能转化成电流iL,通过整流二极管D继续向负载R提供能量,在此期间储能滤波电感L两端的电压eL为:
eL = Ldi/dt = – Uo —— K关断期间 (1-7)
式中–Uo前的负号,表示K关断期间电感产生电动势的方向与K接通期间电感产生电动势的方向正好相反。对(1-7)式进行积分得:


式中i(Ton+)为控制开关K从Ton转换到Toff的瞬间之前流过电感的电流,i(Ton+)也可以写为i(Toff-),即:控制开关K关断或接通瞬间,之前和之后流过电感L的电流相等。实际上(1-8)式中的i(Ton+)就是(1-6)式中的iLm,即:


上面计算都是假设输出电压Uo基本不变的情况得到的结果,在实际应用电路中也正好是这样,输出电压Uo的电压纹波非常小,只有输出电压的百分之几,工程计算中完全可以忽略不计。
从(1-4)式到(1-11)和图1-3、图1-4、图1-5中可以看出:
当开关电源工作于临界连续电流或连续电流状态时,在K接通和关断的整个周期内,储能电感L都有电流流出,但在K接通期间与K关断期间,流过储能电感L的电流的上升率(绝对值)一般是不一样的。在K接通期间,流过储能电感L的电流上升率为Ui-Uo/L: ;在K关断期间,流过储能电感L的电流上升率为: -Uo/L
因此:
(1)当Ui = 2Uo时,即滤波输出电压Uo等于电源输入电压Ui的一半时,或控制开关K的占空比D为二分之一时,流过储能电感L的电流上升率,在K接通期间与K关断期间绝对值完全相等,即电感存储能量的速度与释放能量的速度完全相等。此时,(1-5)式中i(0)和(1-11)式中iLX均等于0。在这种情况下,流过储能电感L的电流iL为临界连续电流,且滤波输出电压Uo等于滤波输入电压uo的平均值Ua。参看图1-3。
(2)当Ui > 2Uo时,即:滤波输出电压Uo小于电源输入电压Ui的一半时,或控制开关K的占空比小于二分之一时:虽然在K接通期间,流过储能电感L的电流上升率(绝对值),大于,在K关断期间,流过储能电感L的电流上升率(绝对值);但由于(1-5)式中i(0)等于0,以及Ton小于Toff,此时,(1-11)式中的iLX会出现负值,即输出电压反过来要对电感充电,但由于整流二极管D的存在,这是不可能的,这表示流过储能电感L的电流提前过0,即有断流。在这种情况下,流过储能电感L的电流iL不是连续电流,开关电源工作于电流不连续状态,因此,输出电压Uo的纹波比较大,且滤波输出电压Uo小于滤波输入电压uo的平均值Ua。参看图1-4。
(3)当Ui < 2Uo时,即:滤波输出电压Uo大于电源输入电压Ui的一半时,或控制开关K的占空比大于二分之一时:在K接通期间,虽然流过储能电感L的电流上升率(绝对值),小于,在K关断期间,流过储能电感L的电流上升率(绝对值)。但由于Ton大于Toff,(1-5)式中i(0)和(1-11)式中iLX均大于0,即:电感存储能量每次均释放不完。在这种情况下,流过储能电感L的电流iL是连续电流,开关电源工作于连续电流状态,输出电压Uo的纹波比较小,且滤波输出电压Uo大于滤波输入电压uo的平均值Ua。参看图1-5。
烜芯微专业制造二极管,三极管,MOS管,桥堆等20年,工厂直销省20%,4000家电路电器生产企业选用,专业的工程师帮您稳定好每一批产品,如果您有遇到什么需要帮助解决的,可以点击右边的工程师,或者点击销售经理给您精准的报价以及产品介绍
烜芯微专业制造二极管,三极管,MOS管,桥堆等20年,工厂直销省20%,4000家电路电器生产企业选用,专业的工程师帮您稳定好每一批产品,如果您有遇到什么需要帮助解决的,可以点击右边的工程师,或者点击销售经理给您精准的报价以及产品介绍