运算放大器是一个内含多级放大电路的电子集成电路,其输入级是差分放大电路,具有高输入电阻和抑制零点漂移能力;中间级主要进行电压放大,具有高电压放大倍数,一般由共射极放大电路构成;输出极与负载相连,具有带载能力强、低输出电阻特点。运算放大器的应用非常广泛。
运算放大器有两个输入端 a(反相输入端),b(同相输入端)和一个输出端 o。也分别被称为倒向输入端非倒向输入端和输出端。当电压 U- 加在 a 端和公共端(公共端是电压为零的点,它相当于电路中的参考结点。)之间,且其实际方向从 a 端高于公共端时,输出电压 U 实际方向则自公共端指向 o 端,即两者的方向正好相反。当输入电压 U+加在 b 端和公共端之间,U 与 U+两者的实际方向相对公共端恰好相同。为了区别起见,a 端和 b 端分别用"-"和"+"号标出,但不要将它们误认为电压参考方向的正负极性。
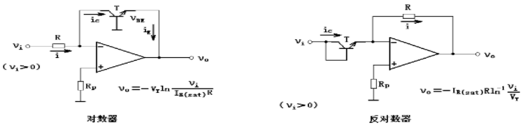
以下为您列举了常用的运算放大器电路图及基本公式:










烜芯微专业制造二极管,三极管,MOS管,桥堆等20年,工厂直销省20%,4000家电路电器生产企业选用,专业的工程师帮您稳定好每一批产品,如果您有遇到什么需要帮助解决的,可以点击右边的工程师,或者点击销售经理给您精准的报价以及产品介绍










烜芯微专业制造二极管,三极管,MOS管,桥堆等20年,工厂直销省20%,4000家电路电器生产企业选用,专业的工程师帮您稳定好每一批产品,如果您有遇到什么需要帮助解决的,可以点击右边的工程师,或者点击销售经理给您精准的报价以及产品介绍