在放大电路中,引入反馈使放大器的放大倍数减小为负反馈。反之,使放大器的放大倍数增大为正反馈。正反馈虽然能提高放大倍数,但会使放大器的性能变坏,在放大电路中应用很少,一般只在振荡脉冲电路中采用。而负反馈虽然使放大倍数有所下降,但它却能改善放大器的性能,因此应用比较广泛。
在放大电路中,引入电压负反馈,将使输出电压保持稳定,其效果是减小了电路的输出电阻;而电流负反馈将使输出电流保持稳定,因而增大了输出电阻。在放大电路中,引入并联负反馈可使放大电路中输入电阻减小,并联负反馈是把反馈电流与输入电流并联起来,其作用是削弱输入电流;而串联负反馈可使放大电路中输入电阻增大及把反馈电压与输入电压串联起来,其作用是对输入信号电压起削弱作用。
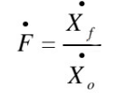
放大电路负反馈可以提高放大倍数的稳定性,引入负反馈以后,放大电路放大倍数稳定性的提高通常用相对变化量来衡量。
因为: 

所以求导得:

即:

基本放大电路的放大倍数为:

反馈系数为:
烜芯微专业制造二极管,三极管,MOS管,桥堆等20年,工厂直销省20%,4000家电路电器生产企业选用,专业的工程师帮您稳定好每一批产品,如果您有遇到什么需要帮助解决的,可以点击右边的工程师,或者点击销售经理给您精准的报价以及产品介绍

烜芯微专业制造二极管,三极管,MOS管,桥堆等20年,工厂直销省20%,4000家电路电器生产企业选用,专业的工程师帮您稳定好每一批产品,如果您有遇到什么需要帮助解决的,可以点击右边的工程师,或者点击销售经理给您精准的报价以及产品介绍