1、PNP 型单级共射放大器电路图如下:


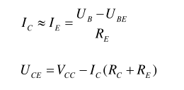
2、静态工作点的理论计算:
静态工作点可由以下几个关系式确定:




由以上式子可知,当管子确定后,改变 Vcc、R、Rp2、R 中任意参数值,都会导致静态工作点的变化。当电路参数确定后,静态工作点主要通过 R,调整。工作点偏高,输出信号波形易产生饱和失真;工作点偏低,输出波形易产生截止失真。但当输入信号过大时,管子将工作在非线性区,输出波形会产生双向失真。当输出波形不很大时,静态工作点的设置应偏低,以减小电路的静态损耗。
3、电压放大倍数的测量与计算
电压放大倍数是指放大电路输出端的信号电压(变化电压)与输入端的信号电压之比,


当放大电路静态工作点设置合理后,在其输入端加适当的正弦信号,同时用示波器观察放大电路的输出波形,在输出波形不失真的条件下,用交流毫伏表或示波器分别测量放大电路的输入、输出电压,再按定义式计算即可。
pnp 共射极放大电路原理图
4、输入电阻 Ri 的测量计算
输入电阻就是从放大器输入端看进去的等效电阻,测量时可用串联电阻法来进行 . 在信号源与放大电路输入端串接已知电阻 Rs,则


5、输出电阻 Ro 的测量计算
输出电阻就是从放大器输入端看进去的等效电阻,对负载电阻而言,放大器等效为信号源,若采用电压源的形式,即为一个理想电压源 Uo 和内阻 Ro 相串联,Ro 的大小直接影响负载上的电压和电流,故 Ro 称为放大器的输出电阻。测输出电阻 Ro 时,采用单负载电阻法 . 利用交流电压表分别测量 Uo 和 Uol 的值。则


6、放大电路频率特性的测量
对于阻容耦合的放大器,由于耦合电容及射极电容的存在,使 Au 随信号频率的降低而降低;又因为分布电容的存在集受晶体管截止频率的限制,使 Au 随信号频率的升高而降低。仅在中频段,这些电容的影响才可忽略,Au 与 f 关系的曲线称为 RC 耦合放大器的幅频特性曲线,Au=0.707Am 时所对应的 f,和 f,分别称为上限频率和下限频率,BW 称为通频带,其值为:
。
烜芯微专业制造二极管,三极管,MOS管,桥堆等20年,工厂直销省20%,4000家电路电器生产企业选用,专业的工程师帮您稳定好每一批产品,如果您有遇到什么需要帮助解决的,可以点击右边的工程师,或者点击销售经理给您精准的报价以及产品介绍

烜芯微专业制造二极管,三极管,MOS管,桥堆等20年,工厂直销省20%,4000家电路电器生产企业选用,专业的工程师帮您稳定好每一批产品,如果您有遇到什么需要帮助解决的,可以点击右边的工程师,或者点击销售经理给您精准的报价以及产品介绍