使用电流互感器可以减小测量变换器原边电流时的损耗,比如大功率开关电源,由于电流过大所以需要使用电流互感线圈来监测电流以减少损耗。
电流互感器与一般的电压变压器的区别在什么地方呢?这个问题即使是资深的磁性元件设计人员也很难回答。基本的区别在于:变压器试图把电压从原边变换到副边,而电流互感器试图把电流从原边变换到副边。电流互感器的电压大小由负载决定。
我们通过一个实际的设计例子,可以更好地理解电流互感器的工作原理。
假设用电流互感器测量变换器的原边电流,原边 10A 电流对应 1V 电压。当然,我们可以用一个 1V/10A=100mΩ的电阻来测量,但是电阻将造成的损耗为 1V×10A=10W,这么大的损耗对几乎所有的设计来说都是不能接受的。所以,要选用电流互感器,如图 1 所示。


图 1 用电流检测互感器减小损耗
当然,为了减少绕组电阻,我们把原边的匝数取为 1 匝,同时为了使电流降到一个比较低的水平,副边匝数应该比较多。如果副边匝数为 N,由欧姆定律可得(10/N)R=1V,在电阻中消耗的功率为 P=(1V)^2/R。我们假设消耗的功率为 50mW(也就是说,我们可以使用 100mW 规格的电阻),这就要求 R 不得小于 20Ω,如果采用 20Ω的电阻,由欧姆定律可得副边匝数 N=200。
现在我们来看磁芯,假设二极管是普通的一般的二极管,通态电压大约为 1V,电流为 10A/200=50mA?;ジ衅魇涑龅缪刮?1V,加上二极管的通态电压 1V,总电压大约 2V。250kHz 频率工作时,磁芯上的磁感应强度不会超过


其中 4us 为一个周期的时间,实际肯定是不到一个周期的。
由于原边流过电流的时间不可能超过开关周期(否则,磁芯无法复位)。因此 Ae 可以很小,而 B 也不会很大。这个例子里磁芯的尺寸不能通过损耗要求或磁通饱和要求来确定,更大的可能是由原副边之间的隔离电压来确定。如果隔离电压没有要求,磁芯的大小一般由 200 匝的绕组所占体积来确定。
你可以用 40 号的导线流过 500mA 的峰值电流,但是这种导线实在太细,一般的变压器厂家不会为你绕制。实用提示:除非一定要用,一般情况下不要使用规格小于 36 号线的导线。
现在我们来分析为什么不能用电压变压器来替代电流互感器?已经知道副边电压只有 2V,因此原边电压为 2V/200=100mV。如果输入直流电压为 48V,那么电流互感器原边 10mV 电压对 48V 电压来说是微不足道的——那样你可以在副边得到 50mA 的电流,而对原边几乎没有什么影响。
假设另一种情况(不现实的),原边的输入直流电压只有 5mV,那么互感器的原边不可能有 10mV 的电压,同时由于原边阻抗(如反射副边阻抗)也比较大,决定了副边根本不可能产生 50mA 的电流。
即使整个 5mV 电压全部加在原边,副边也只能产生 200×5mV=1V 的电压:不能在转换电阻上产生足够的电压。因此,电压变压器只能用作变压器,不能用来检测电流。
从另外一个角度来看:虽然输入电源的电压为 48V 时,但是流过电流互感器电流的大小不是由原边的这个 48V 电压决定的,而是其他因素决定的。
电流互感器是有阻抗限制的电压变压器。
最后,我们来看一下电流互感器的误差情况怎么样?答案在于电流互感器的基本定义上:感应的是电流。
实用提示 电流互感中的二极管和副边绕组的电阻不会影响电流的测量,因为(只要阻抗不是无穷大)串联电路中电流处处相等,与串联的元件无关。
实际工作中,是不是使用肖特基二极管作为整流二极管是没有关系的:二极管的低通态电压只影响变压器,不会影响电流互感器。
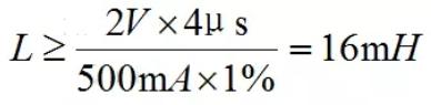
如果互感器副边的电感太小,测量误差将会增大。也就是激磁电感太小,假设我们要求测量电流的最大误差为 1%,原边电流为 10A,那么副边电流就是 50mA,这就意味着要求激磁电流(副边)应该小于 50mA×1%=500μA。激磁电流没有流过转换电阻,我们也无法检测到这个电流,这样误差就增大了。我们可以算出副边电感的最小值


现在的匝数为 200,我们需要 AL=16mH/200=400nH 的磁环,用普通的小铁氧体磁环就可以了,这种铁氧体磁环是很容易找到的。
烜芯微专业制造二极管,三极管,MOS管,桥堆等20年,工厂直销省20%,4000家电路电器生产企业选用,专业的工程师帮您稳定好每一批产品,如果您有遇到什么需要帮助解决的,可以点击右边的工程师,或者点击销售经理给您精准的报价以及产品介绍
烜芯微专业制造二极管,三极管,MOS管,桥堆等20年,工厂直销省20%,4000家电路电器生产企业选用,专业的工程师帮您稳定好每一批产品,如果您有遇到什么需要帮助解决的,可以点击右边的工程师,或者点击销售经理给您精准的报价以及产品介绍