PNP型半导体三极管和NPN型半导体三极管的基本工作原理完全一样,下面以NPN型半导体三极管为例来说明其内部的电流传输过程,进而介绍它的工作原理。半导体三极管常用的连接电路如图15-3(a)所示。半导体三极管内部的电流传输过程如图15-3(b)所示。半导体三极管中的电流传输可分为三个阶段。
1、发射区向基区发射电子
电源接通后,发射结为正向连接。在正向电场作用下,发射区的多数载流子(电子)的扩散运动加强。因此,发射区的电子很容易在外电场的作用下越过发射结进入基区,形成电子流IEN(注意电流的方向与电子运动的方向相反)。当然,基区的多数载流子(空穴)也会在外电场的作用下流向发射区,形成空穴电流IEP。但由于基区的杂质浓度很低,与从发射区来的电子流相比,
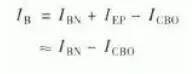
IEP可以忽略不计,所以发射极电流为:


2、电子在基区中的扩散与复合
从发射区扩散到基区的电子到达基区后,由于基区靠发射区的一侧电子浓度较大,靠集电区一侧电子浓度较小.所以电子继续向集电区扩散。在扩散过程中,电子有可能与基区的空六相遇而复合,基极电源、EB不断提供空穴,这就形成了基极电流IBN。由于基区很薄,而空穴浓度低,电子与空穴复合的机会很少,大部分电子继续向集电区扩散。此外,半导体三极管工作时,集电结为反向连接,在反向电场作用下,基区与集电区之间少数载流子的漂移运动加强c因基区载流子很少.电子更少,故漂移运动主要是集电区的空穴流向基区。漂移运动形成的电流ICBO的数值很小,而且与外加电场的大小关系不大,它被称为集电极反向饱和电流因此,基极电流为:


3、集电极电流的形成
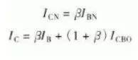
由于集电结加的是反向电场,经过基区继续向集电区方向扩散的电子是逆电场方向的,所以受到拉力,加速流向集电区.形成电子流ICN。如果考虑集电极饱和电流ICBO的影响,集电极电流应为:
从半导体三极管外电路看,流入管子的电流必须等于流出的电流,所以
从半导体三极管电流传输过程中可以看出,集电极电流IC很大,而基极电流IB很小。另外,由于三极管本身的结构已定,所以IC和IB在相当大的一个范围内总存在一个固定的比例关系,即


其中β表示IC与IB的关系.称为共发射极的直流放大系数,β大于1,一般为20-200。
由于IC和IB存在一定的比例关系,而且IE=lC+IB,所以半导体三极管起着一种电流分配器的作用,即把发射极电流IE按一定的分配关系分成IC和IB。IC远大于IB。因存在这种分配关系,所以只要使IB略有增加,IC就会增加很多,这就起到了放大作用。
烜芯微专业制造二极管,三极管,MOS管,桥堆等20年,工厂直销省20%,4000家电路电器生产企业选用,专业的工程师帮您稳定好每一批产品,如果您有遇到什么需要帮助解决的,可以点击右边的工程师,或者点击销售经理给您精准的报价以及产品介绍
烜芯微专业制造二极管,三极管,MOS管,桥堆等20年,工厂直销省20%,4000家电路电器生产企业选用,专业的工程师帮您稳定好每一批产品,如果您有遇到什么需要帮助解决的,可以点击右边的工程师,或者点击销售经理给您精准的报价以及产品介绍