MOSFET中的噪声
噪声源
MOS器件的本底噪声是器件中电压和电流的自发涨落,与电子电荷的离散性紧密相关。
噪声的影响受器件及其所在电路放大能力的限制。
外界噪声可以通过适当的屏蔽处理进行减弱或消除,但是本底噪声由器件自发产生,不能完全消除。
MOSFET中的噪声:MOS器件的本底噪声包括热噪声(Thermal Noise) 、散粒噪声(Shot Noise) 和闪烁噪声(Flicker noise)
沟道的热噪声会产生诱生栅极噪声。
热噪声
热噪声(Thermal Noise)在任何热平衡的电阻中都存在。其物理本质是电子与热激发原子的随机碰撞,类似于小颗粒在液体中的布朗运动。
对于布朗运动的处理,采用平衡态统计力学处理。
散粒噪声
散粒噪声(Shot Noise) 与随机越过势垒的载流子有关。
在半导体器件中,越过PN结的载流子的随机扩散以及电子空穴对的随机产生和复合导致流过势垒的电流在其平均值附近随机涨落,引起散粒噪声。
散粒噪声存在于真空管和半导体器件中。
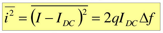
肖特基推导了散粒噪声电流公式:

IDC为通过势垒的平均直流电流。
同样,散粒噪声谱密度与频丰无关,所有频率上具有相同的噪声功率,散粒噪声同样也是白噪声。
散粒噪声只与通过势垒的平均直流电流有关。因此,为了减少散粒噪声的不利影响,流过器件的直流电流应越小越好,尤其是放大器的前置级。
闪烁噪声
电子器件的闪烁噪声(Flicker Noise)是由两种导体的接触点电导的随机涨落引起的。
凡是有导体接触不理想的器件都存在闪烁噪声,所以又称为接触噪声。由于其功率谱密度正比于1/f,频率越低噪声越严重,所以又称为1/f噪声或低频噪声。
1925年,J.B.Johnson 在“低频电路中的肖特基效应”的论文中第一次提出了“1/f噪声”这一术语。在考查肖特基效应时,J.B.Johnson发现除了散粒噪声以外,在低频部分还有较强烈的电流噪声。若使用氧化物阴极,该电流就更大。
经过进一步的实验,J.B.Johnson 还发现这个在低频部分的电流噪声的功率谱密度和频率f成反比,因此,他把这种噪声称作“1/f噪声”,即闪烁噪声。
1/f噪声在自然界中广泛存在,不仅出现在半导体、金属薄膜、电解液中,还以非电子形式出现在机械和生物系统中。
人在安静状态下的心跳周期的波动规律以及α脑波的波动规律与1/f波动规律相吻合,因此1/f波动作用在人身上会令人感到舒服。
自然风的频谱符合1/f波动规律,使人感觉轻松舒适。
详细的噪声源机制尚不完全清楚,但一般来讲,半导体器件中的1/f噪声是由晶体结构中杂质的缺陷引起的各种效应产生的。在MOS结构中,1/f噪声与定期捕获和释放载流子的氧化物表面状态有关。
MOS中的闪烁噪声由晶体缺陷、表面态或表面不稳定性产生。其功率谱密度S(f)一般满足关系

K、EF为常数,一般情况下EF≈1,即闪烁噪声与频率成反比。
闪烁噪声在所有半导体器件甚至电阻等无源器件中均存在,其发生没有统一的物理机制解释。因此,需要通过实验确定K和EF。
对于的MOS中的闪烁噪声,已经有一定研究进展。
MOSFET中的噪声特性总结
主要噪声源:
①沟道热噪声(与频率无关);
②诱生栅极噪声(与频率的平方成正比);
③与表面等有关的1/f噪声(与频率成反比)。

烜芯微专业制造二极管,三极管,MOS管,桥堆等20年,工厂直销省20%,4000家电路电器生产企业选用,专业的工程师帮您稳定好每一批产品,如果您有遇到什么需要帮助解决的,可以点击右边的工程师,或者点击销售经理给您精准的报价以及产品介绍