MOS管栅极驱动电阻如何优化设计
MOS管的驱动对其工作效果起着决定性的作用。设计师既要考虑减少开关损耗,又要求驱动波形较好即振荡小、过冲小、EMI小。这两方面往往是互相矛盾的,需要寻求一个平衡点,即驱动电路的优化设计。
MOS管栅极驱动电阻:驱动电路的优化设计包含两部分内容:一是最优的驱动电流、电压的波形;二是最优的驱动电压、电流的大小。在进行驱动电路优化设计之前,必须先清楚MOS管的模型、MOS管的开关过程、MOS管的栅极电荷以及MOS管的输入输出电容、跨接电容、等效电容等参数对驱动的影响。
MOS管的模型
MOS管的等效电路模型及寄生参数如图1所示。图1中各部分的物理意义为:
(1)LG和LG代表封装端到实际的栅极线路的电感和电阻。
(2)C1代表从栅极到源端N+间的电容,它的值是由结构所固定的。
(3)C2+C4代表从栅极到源极P区间的电容。C2是电介质电容,共值是固定的。而C4是由源极到漏极的耗尽区的大小决定,并随栅极电压的大小而改变。当栅极电压从0升到开启电压UGS(th)时,C4使整个栅源电容增加10%~15%。
(4)C3+C5是由一个固定大小的电介质电容和一个可变电容构成,当漏极电压改变极性时,其可变电容值变得相当大。
(5)C6是随漏极电压变换的漏源电容。

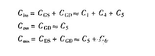
MOS管输入电容(Ciss)、跨接电容(Crss)、输出电容(Coss)和栅源电容、栅漏电容、漏源电容间的关系如下:

MOS管的开通过程
开关管的开关模式电路如图2所示,二极管可是外接的或MOS管固有的??毓茉诳ㄊ钡亩艿缪埂⒌缌鞑ㄐ稳缤?所示。
在图3的阶段1开关管关断,开关电流为零,此时二极管电流和电感电流相等;在阶段2开关导通,开关电流上升,同时二极管电流下降??氐缌魃仙男甭屎投艿缌飨陆档男甭实木灾迪嗤?,符号相反;在阶段3开关电流继续上升,二极管电流继续下降,并且二极管电流符号改变,由正转到负;
在阶段4,二极管从负的反向最大电流IRRM开始减小,它们斜率的绝对值相等;在阶段5开关管完全开通,二极管的反向恢复完成,开关管电流等于电感电流。

图4是存储电荷高或低的两种二极管电流、电压波形。从图中可以看出存储电荷少时,反向电压的斜率大,并且会产生有害的振动。而前置电流低则存储电荷少,即在空载或轻载时是最坏条件。所以进行优化驱动电路设计时应着重考虑前置电流低的情况,即空载或轻载的情况,应使这时二极管产生的振动在可接受范围内。

栅极电荷QG和驱动效果的关系
栅极电荷QG是使栅极电压从0升到10V所需的栅极电荷,它可以表示为驱动电流值与开通时间之积或栅极电容值与栅极电压之积。现在大部分MOS管的栅极电荷QG值从几十纳库仑到一、两百纳库仑。
栅极电荷QG包含了两个部分:栅极到源极电荷QGS;栅极到漏极电荷QGD—即“Miller”电荷。QGS是使栅极电压从0升到门限值(约3V)所需电荷;QGD是漏极电压下降时克服“Miller”效应所需电荷,这存在于UGS曲线比较平坦的第二段(如图5所示),此时栅极电压不变、栅极电荷积聚而漏极电压急聚下降,也就是在这时候需要驱动尖峰电流限制,这由芯片内部完成或外接电阻完成。
实际的QG还可以略大,以减小等效RON,但是太大也无益,所以10V到12V的驱动电压是比较合理的。这还包含一个重要的事实:需要一个高的尖峰电流以减小MOS管损耗和转换时间。

优化栅极驱动设计
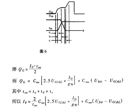
MOS管栅极驱动电阻:在大多数的开关功率应用电路中,当栅极被驱动,开关导通时漏极电流上升的速度是漏极电压下降速度的几倍,这将造成功率损耗增加。为了解决问题可以增加栅极驱动电流,但增加栅极驱动上升斜率又将带来过冲、振荡、EMI等问题。优化栅极驱动设计,正是在互相矛盾的要求中寻求一个平衡点,而这个平衡点就是开关导通时漏极电流上升的速度和漏极电压下降速度相等这样一种波形,理想的驱动波形如图6所示。
图6的UGS波形包括了这样几部分:
UGS第一段是快速上升到门限电压;UGS第二段是比较缓的上升速度以减慢漏极电流的上升速度,但此时的UGS也必须满足所需的漏极电流值;UGS第四段快速上升使漏极电压快速下降;UGS第五段是充电到最后的值。
当然,要得到完全一样的驱动波形是很困难的,但是可以得到一个大概的驱动电流波形,其上升时间等于理想的漏极电压下降时间或漏极电流上升的时间,并且具有足够的尖峰值来充电开关期间的较大等效电容。该栅极尖峰电流IP的计算是:电荷必须完全满足开关时期的寄生电容所需。

结论
本文详细介绍了MOS管的电路模型、开关过程、输入输出电容、等效电容、电荷存储等对MOS管驱动波形的影响,及根据这些参数对驱动波形的影响进行的驱动波形的优化设计实例,取得了较好的实际效果。
影响MOSFET开关速度除了其本身固有Tr,Tf外,还有一个重要的参数:Qg (栅极总静电荷容量).该参数与栅极驱动电路的输出内阻共同构成了一个时间参数,影响着MOSFET的性能。
烜芯微专业制造二极管,三极管,MOS管,桥堆等20年,工厂直销省20%,4000家电路电器生产企业选用,专业的工程师帮您稳定好每一批产品,如果您有遇到什么需要帮助解决的,可以点击右边的工程师,或者点击销售经理给您精准的报价以及产品介绍
烜芯微专业制造二极管,三极管,MOS管,桥堆等20年,工厂直销省20%,4000家电路电器生产企业选用,专业的工程师帮您稳定好每一批产品,如果您有遇到什么需要帮助解决的,可以点击右边的工程师,或者点击销售经理给您精准的报价以及产品介绍