1:欧姆接触(Ohmic contacts)
2:肖特基接触(Schottky contacts)
3:肖特基势垒高度(Schottky barrier height,SBH,?B)
3:肖特基二极管(SBD)
关于欧姆接触和肖特基接触的概念和区别,我已经在上一篇文章中介绍清楚了,放上链接:
TIAN:欧姆接触与肖特基接触


那么,肖特基二极管是什么?


Fig. 1 the structure of schottky diode
从上图可以看出,肖特基二极管的构成,除了中间的半导体层,就是欧姆接触和肖特基接触了。而欧姆接触我们前面已经介绍过了,现在介绍肖特基接触。
1)物理性质
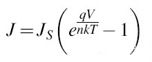
肖特基金属-半导体界面的载流子传输通常是通过载流子在阻挡层上的热电子发射而发生的,在正偏情况下:


饱和电流浓度为:


其中,V是施加的电压,n是理想因子,A*是有效Richardson常数,T是温度,q是元电荷,k是玻尔兹曼常数,?B是肖特基势垒高度(SBH)。理想因子说明了与热电子发射理论的偏差。下面,上能带图。


a) before contact b)after contact
热力学规定,metal-semiconductor contact必须遵从 Schottky-Mott 规则:


但是,注意到,这个公式只是理想模型,实际中,SBH收到如镜像力(image force),界面缺陷等的因素,实际的值会低于理想值。
2)特性
正向电流电压特性和反向电流电压特性
关断电流
导通电阻
击穿电压
烜芯微专业制造二极管,三极管,MOS管,桥堆等20年,工厂直销省20%,4000家电路电器生产企业选用,专业的工程师帮您稳定好每一批产品,如果您有遇到什么需要帮助解决的,可以点击右边的工程师,或者点击销售经理给您精准的报价以及产品介绍
烜芯微专业制造二极管,三极管,MOS管,桥堆等20年,工厂直销省20%,4000家电路电器生产企业选用,专业的工程师帮您稳定好每一批产品,如果您有遇到什么需要帮助解决的,可以点击右边的工程师,或者点击销售经理给您精准的报价以及产品介绍