稳压二极管也称为齐纳二极管(zener diode)
1.稳压二极管特性
对于普通二极管而言,正向导通、反向截止,反向电压过高会击穿损坏。而稳压二极管是一种特殊工艺制造的面结型半导体二极管,它的正向特性与普通二极管相同,反向特性却比较特殊,它最大的特点就是可以稳定地工作在反向击穿状态而不会损坏,并且在反向击穿状态下电流变化很大的范围内,电压基本保持恒定。稳压管在电路中主要起到稳压和提供基准电压的作用。


稳压管伏安特性曲线
注:稳压管工作在图中A-B区间,这条线越陡,稳压管的性能越好。IZ(min)和IZ(max)是稳压管工作在正常稳压状态时的最小和最大工作电流,反向电流小于IZ(min)时,稳压管处于反向截止状态,稳压特性消失;反向电流大于IZ(max)时,稳压管可能会被烧毁。
2.稳压二极管主要参数


示例:1SMA5929稳压管
①VZ— 稳定电压
VZ是稳压二极管在反向击穿区时的工作电压,是稳压管重要的参数,这个数值随工作电流和温度的不同略有改变。示例中:1SMA5929标称稳压值为15V,实际稳压范围在14.25V~15.75V之间。
②PZM— 最大耗散功率


1SMA5932规格书片段
稳压二极管正常工作时能承受的最大功率,规格书中直接查阅,示例:1SMA5929的最大耗散功率为1.5W。而稳压管的额定功率损耗为:Pz=Vz*Iz。
③IZT— 稳定工作电流
指稳压管产生稳定电压时通过该管的电流值,工作在这个电流值对应的稳压性能最好(上限不能超出最大稳定工作电流,下限不能低于最小稳定工作电流)。示例:1SMA5929的稳定工作电流为25mA。
④RZ—动态电阻
RZ=△VZ/△IZ,反向击穿时电压变化与电流变化的比值,动态电阻越小,稳压效果越好。
3.稳压管限流电阻的计算
首先我们要明白,稳压二极管为什么要加限流电阻,作用有二:
①稳压二极管工作在反向击穿区时,内阻很小,如果不加限流电阻,输入电压没有超过标称稳压值稳压管截止则不会有问题,但输入电压超出标称稳压值后,流经稳压管的电流急剧增大,稳压管实际消耗功率急剧增大,很快超出稳压管最大耗散功率,从而损坏稳压管。
②限流电阻在?;の妊构艿耐?,也会给稳压管提供一个稳定的工作电流,使稳压管处于我们需要的这个稳压的状态。


限流电阻计算图例
稳压过程分析:输入电压VS升高,会导致输出电压VO升高,稳压管与负载并联,所以稳压管两端电压相应升高,根据稳压管反向击穿特性,微弱的电压变化会导致电流IZ变化很大,IZ增大,IS也会增大,限流电阻RS两端的压降会增大,从而抵消了VS的变化,使得VO保持稳定,反之亦然。


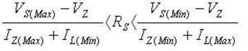
限流电阻计算公式
注:稳压二极管可以串联使用(两个15V稳压管串联做30V稳压管使用)。
使用稳压管进行稳压,适用于后级负载功率较小且精度要求不高的场合。
4.稳压二极管电路应用


串联稳压电路,输入在25V上下波动,输出稳定在15V
烜芯微专业制造二极管,三极管,MOS管,桥堆等20年,工厂直销省20%,4000家电路电器生产企业选用,专业的工程师帮您稳定好每一批产品,如果您有遇到什么需要帮助解决的,可以点击右边的工程师,或者点击销售经理给您精准的报价以及产品介绍
烜芯微专业制造二极管,三极管,MOS管,桥堆等20年,工厂直销省20%,4000家电路电器生产企业选用,专业的工程师帮您稳定好每一批产品,如果您有遇到什么需要帮助解决的,可以点击右边的工程师,或者点击销售经理给您精准的报价以及产品介绍