
导语
首先,建议大家看之前先看下面这一篇,以了解二极管的开关过程,这有助于后面的理解。
二极管的开关过程及其可能引发的EMI问题


正题:很多时候,我们会认为二极管的导通损耗(即其正向压降乘以正向电流)就是它的总损耗。但是二极管的开关过程中,由于电流电压波形有交叉,它们的乘积不为零,所以存在着开关损耗。同时由于二极管有反向漏电流的存在,所以还有一个截止损耗。
综上,二极管的损耗类型包含了导通损耗、截止损耗、开通损耗、关断损耗。这与MOSFET的损耗类似(但MOSFET比二极管复杂),今天就介绍这些损耗如何计算。
必要的名称解释
VF/VR:正向压降/反向电压
IF/IR:正向电流/反向漏电流
tfr:正向恢复时间
Vfp/Ifp:正向峰值电压/正向峰值电流
Vrp/Irp:反向峰值电压/反向峰值电流
Qrr:反向恢复电荷
损耗分析
由于二极管常用于整流,所以我们这里假设二极管通过的是一个方波信号,周期为T、频率为f、导通时间为ton、占空比为D。
再回顾下二极管的开关过程如下图-1所示:


图-1:二极管的开关过程示意图
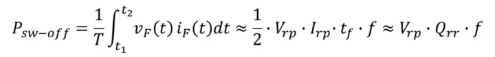
如上图-1所示,可以容易地列出二极管的四大平均功率损耗:
导通损耗:


截止损耗:


开通损耗:


关断损耗:


注意:从图-1可以看到二极管在反向恢复时间trr内的td时段,压降很小,所以在这段时间产生的损耗可以忽略不计,关断损耗的积分区间直接从t1到t2。
最后说一下,我们常认为二极管的导通损耗近似于它的总损耗是有道理的,因为导通损耗一般来说占的比重比较大,所以我们有时会喜欢使用那些正向压降低的二极管,比如肖特基二极管。
“在高温环境下,二极管的反向恢复时间会变长,反向漏电流也会变大。对此敏感的电路需要注意。
烜芯微专业制造二极管,三极管,MOS管,桥堆等20年,工厂直销省20%,4000家电路电器生产企业选用,专业的工程师帮您稳定好每一批产品,如果您有遇到什么需要帮助解决的,可以点击右边的工程师,或者点击销售经理给您精准的报价以及产品介绍
烜芯微专业制造二极管,三极管,MOS管,桥堆等20年,工厂直销省20%,4000家电路电器生产企业选用,专业的工程师帮您稳定好每一批产品,如果您有遇到什么需要帮助解决的,可以点击右边的工程师,或者点击销售经理给您精准的报价以及产品介绍