

正向压降功耗:
算法 1:P.f=V.f*I.o V.f:正向导通电压 I.o:输出电流


方法 2:
Vf=Vo+If*Rs
Pf=Vo*If+Rs*If^2


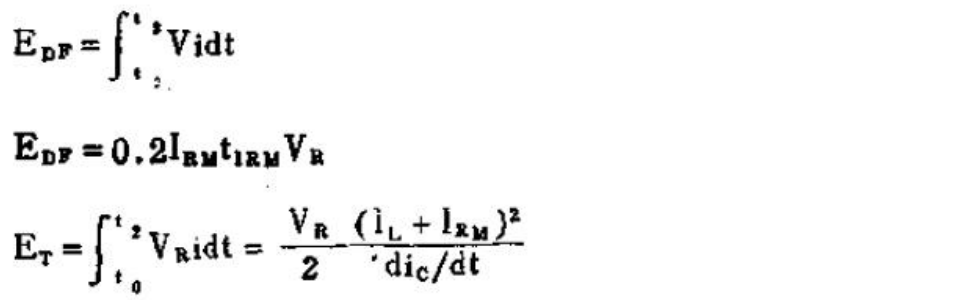
反向电流功耗:
这个值不太好估计,因为 Vr 也在变化,因此我建议以实测为主:


实测:


然后可测得电压下降波形进行计算。
漏电流功耗:P.r=V.r*I.r V.r:反向电压 I.r:反向电流


这是最开始的博文,有些不清楚的地方。
我看到一本书,《功率晶体管和开关二极管的应用技巧》
一本 80 年代末翻译的书,里面很详细的阐述了功率晶体管和开关二极管设计的过程。很严谨也很详实,不是偶然间翻到,我们可能没有可能去搞清楚这个过程了。
这一段是我整理在我写的文章里面的,希望能把这个过程写清楚:


二极管在较高频率下应用的时候,需要注意二极管除了我们知道的正常的导通状态和正常的截至状态以外,在两种状态之间,转换过程中还存在着开启效应和关断效应。二极管在开关的过程中其电流和电压的变化过程如图所示:
① 开启效应:表征着二极管由截止过渡到导通的特性,从反向电压 VR 正向导通,跳变至最高电压 V?P,然后慢慢降低为二极管正向导通电压 VF,达到稳定状态的过程称为二极管的正向恢复过程。这一过程所需要的时间称为正向恢复时间??艄痰墓淌嵌远苑雌艿慕岬缛莩涞纾苟艿牡缪够郝仙?,因 PN 结耗尽区的工作机理,使电压的上升比电流的上升要慢很多。
② 关断效应:表征着二极管由导通过渡到截止的特性,从二极管正向导通电压 VF,跳变至 负向最高电压 VFF,然后反向截止达到稳定状态 VR 的过程称为二极管的反向恢复过程。这一过程所需要的时间称为反向恢复时间。由于电荷存储效应,二极管正向导通时,会存在非平衡少数载流子积累的现象。在关断过程中存储电荷消失之前,二极管仍维持正偏的状态。为使其承受反向阻断的能力,必需将这些少子电荷抽掉。反向恢复时间分为存储时间 Ts 与下降时间 Tf,存储时间时二极管处在抽走反向电荷的阶段,在这段时间以后电压达到反向最大值,二极管可开始反向阻断,下降时间则是对二极管耗尽区结电容进行充电的过程,直到二极管完全承受外部所加的反向电压,进入稳定的反向截止状态。
二极管的暂态开关过程就是 PN 结电容的充、放电过程。二极管由截止过渡到导通时,相当于电容充电,二极管由导通过渡到截止时,相当于电容放电。二极管结电容越小,充、放电 时间越短,过渡过程越短,则二极管的暂态开关特性越好。
正向过程损耗:


这是一个估计的结果
反向过程损耗
计算方法也是估计的(这是续流电路的情况)


实际的功率二极管用在不同的地方,其结果也是并不相同的,按照书中整流和续流两块去分 析,我可能将之整理一下效果较好。感兴趣的同志们可以去看看,挺详细和详实的一本书。
整个开关过程,实质上,就是认为对结电容进行操作。如果没有电容,整个开关过程是非常理想的,也就等效成为一个理想的开关了。
补充(引用网上不明作者的图和过程分析):
由于二极管外加正向电压时,载流子不断扩散而存储的结果。当外加正向电压时P区空穴向 N区扩散,N区电子向P区扩散,这样,不仅使势垒区(耗尽区)变窄,而且使载流子有相当数量的存储,在P区内存储了电子,而在N区内存储了空穴,它们都是非平衡少数载流子, 如下图所示。


空穴由P区扩散到N区后,并不是立即与N区中的电子复合而消失,而是在一定的路程 LP(扩散长度)内,一方面继续扩散,一方面与电子复合消失,这样就会在 LP 范围内存储一 定数量的空穴,并建立起一定空穴浓度分布,靠近结边缘的浓度最大,离结越远,浓度越小。正向电流越大,存储的空穴数目越多,浓度分布的梯度也越大。我们把正向导通时,非平衡少数载流子积累的现象叫做电荷存储效应。
当输入电压突然由+VF 变为-VR 时P区存储的电子和N区存储的空穴不会马上消失,但它们将通过下列两个途径逐渐减少:
① 在反向电场作用下,P区电子被拉回N区,N区空穴被拉回P区,形成反向漂移电流 IR, 如下图所示;
② 与多数载流子复合。


在这些存储电荷消失之前,PN结仍处于正向偏置,即势垒区仍然很窄,PN结的电阻仍很 小,与 RL 相比可以忽略,所以此时反向电流 IR= (VR+VD)/RL。VD 表示PN结两端的正向压降,一般 VR>>VD,即 IR=VR/RL。在这段期间,IR 基本上保持不变,主要由VR 和 RL 所决定。经过时间 ts 后P区和N区所存储的电荷已显著减小,势垒区逐渐变宽,反向电流 IR 逐渐减小到正常反向饱和电流的数值,经过时间 tt,二极管转为截止。由上可 知,二极管在开关转换过程中出现的反向恢复过程,实质上由于电荷存储效应引起的,反向恢复时间就是存储电荷消失所需要的时间。
烜芯微专业制造二极管,三极管,MOS管,桥堆等20年,工厂直销省20%,4000家电路电器生产企业选用,专业的工程师帮您稳定好每一批产品,如果您有遇到什么需要帮助解决的,可以点击右边的工程师,或者点击销售经理给您精准的报价以及产品介绍
烜芯微专业制造二极管,三极管,MOS管,桥堆等20年,工厂直销省20%,4000家电路电器生产企业选用,专业的工程师帮您稳定好每一批产品,如果您有遇到什么需要帮助解决的,可以点击右边的工程师,或者点击销售经理给您精准的报价以及产品介绍