IGBT在以变频器及各类电源为代表的电力电子装置中得到了广泛应用。IGBT集双极型功率晶体管和功率MOSFET的优点于一体,具有电压控制、输入阻抗大、驱动功率小、控制电路简单、开关损耗小、通断速度快和工作频率高等优点。但是,IGBT和其它电力电子器件一样,其应用还依赖于电路条件和开关环境。因此,IGBT的驱动和?;さ缏肥堑缏飞杓频哪训愫椭氐悖钦鲎爸迷诵械墓丶方?。
为解决IGBT的可靠驱动问题,国外各IGBT生产厂家或从事IGBT应用的企业开发出了众多的IGBT驱动集成电路或???,如国内常用的日本富士公司生产的EXB8系列,三菱电机公司生产的M579系列,美国IR公司生产的IR21系列等。但是,EXB8系列、M579系列和IR21系列没有软关断和电源电压欠压保护功能,而惠普生产的HCLP一316J有过流保护、欠压?;ず?GBT软关断的功能,且价格相对便宜,因此,本文将对其进行研究,并给出1700V,200~300A IGBT的驱动和保护电路。
1 IGBT的工作特性
IGBT是一种电压型控制器件,它所需要的驱动电流与驱动功率非常小,可直接与模拟或数字功能块相接而不须加任何附加接口电路。IGBT的导通与关断是由栅极电压UGE来控制的,当UGE大于开启电压UGE(th)时IGBT导通,当栅极和发射极间施加反向或不加信号时,IGBT被关断。
IGBT与普通晶体三极管一样,可工作在线性放大区、饱和区和截止区,其主要作为开关器件应用。在驱动电路中主要研究IGBT的饱和导通和截止两个状态,使其开通上升沿和关断下降沿都比较陡峭。
2 IGBT驱动电路要求
在设计IGBT驱动时必须注意以下几点。
1)栅极正向驱动电压的大小将对电路性能产生重要影响,必须正确选择。当正向驱动电压增大时,.IGBT的导通电阻下降,使开通损耗减??;但若正向驱动电压过大则负载短路时其短路电流IC随UGE增大而增大,可能使IGBT出现擎住效应,导致门控失效,从而造成IGBT的损坏;若正向驱动电压过小会使IGBT退出饱和导通区而进入线性放大区域,使IGBT过热损坏;使用中选12V≤UGE≤18V为好。栅极负偏置电压可防止由于关断时浪涌电流过大而使IGBT误导通,一般负偏置电压选一5V为宜。另外,IGBT开通后驱动电路应提供足够的电压和电流幅值,使IGBT在正常工作及过载情况下不致退出饱和导通区而损坏。
2)IGBT快速开通和关断有利于提高工作频率,减小开关损耗。但在大电感负载下IGBT的开关频率不宜过大,因为高速开通和关断时,会产生很高的尖峰电压,极有可能造成IGBT或其他元器件被击穿。
3)选择合适的栅极串联电阻RG和栅射电容CG对IGBT的驱动相当重要。RG较小,栅射极之间的充放电时间常数比较小,会使开通瞬间电流较大,从而损坏IGBT;RG较大,有利于抑制dvce/dt,但会增加IGBT的开关时间和开关损耗。合适的CG有利于抑制dic/dt,CG太大,开通时间延时,CG太小对抑制dic/dt效果不明显。
4)当IGBT关断时,栅射电压很容易受IGBT和电路寄生参数的干扰,使栅射电压引起器件误导通,为防止这种现象发生,可以在栅射间并接一个电阻。此外,在实际应用中为防止栅极驱动电路出现高压尖峰,最好在栅射间并接两只反向串联的稳压二极管,其稳压值应与正负栅压相同。
3 HCPL-316J驱动电路
3.1 HCPL-316J内部结构及工作原理
HCPL-316J的内部结构如图1所示,其外部引脚如图2所示。



从图1可以看出,HCPL-316J可分为输入IC(左边)和输出IC(右边)二部分,输入和输出之间完全能满足高压大功率IGBT驱动的要求。
各引脚功能如下:
脚1(VIN+)正向信号输入;
脚2(VIN-)反向信号输入;
脚3(VCG1)接输入电源;
脚4(GND)输入端的地;
脚5(RESERT)芯片复位输入端;
脚6(FAULT) 故障输出,当发生故障(输出正向电压欠压或IGBT短路)时,通过光耦输出故障信号;
脚7(VLED1+)光耦测试引脚,悬挂;
脚8(VLED1-)接地;
脚9,脚10(VEE)给IGBT提供反向偏置电压;
脚11(VOUT)输出驱动信号以驱动IGBT;
脚12(VC)三级达林顿管集电极电源;
脚13(VCC2)驱动电压源;
脚14(DESAT) IGBT短路电流检测;
脚15(VLED2+)光耦测试引脚,悬挂;
脚16(VE)输出基准地。
其工作原理如图1所示。若VIN+正常输入,脚14没有过流信号,且VCC2-VE=12v即输出正向驱动电压正常,驱动信号输出高电平,故障信号和欠压信号输出低电平。首先3路信号共同输入到JP3,D点低电平,B点也为低电平,50×DMOS处于关断状态。此时JP1的输入的4个状态从上至下依次为低、高、低、低,A点高电平,驱动三级达林顿管导通,IGBT也随之开通。
若IGBT出现过流信号(脚14检测到IGBT集电极上电压=7V),而输入驱动信号继续加在脚1,欠压信号为低电平,B点输出低电平,三级达林顿管被关断,1×DMOS导通,IGBT栅射集之间的电压慢慢放掉,实现慢降栅压。当VOUT=2V时,即VOUT输出低电平,C点变为低电平,B点为高电平,50×DMOS导通,IGBT栅射集迅速放电。故障线上信号通过光耦,再经过RS触发器,Q输出高电平,使输入光耦被封锁。同理可以分析只欠压的情况和即欠压又过流的情况。
3.2驱动电路设计
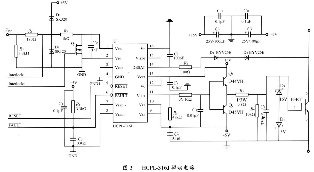
驱动电路及参数如图3所示。


HCPL-316J左边的VIN+,FAULT和RESET分别与微机相连。R7,R8,R9,D5,D6和C12 起输入?;ぷ饔茫乐构叩氖淙氲缪顾鸹礗GBT,但是保护电路会产生约1µs延时,在开关频率超过100kHz时不适合使用。Q3最主要起互锁作用,当两路PWM信号(同一桥臂)都为高电平时,Q3导通,把输入电平拉低,使输出端也为低电平。图3中的互锁信号Interlock,和Interlock2分别与另外一个316J Interlock2和Interlock1相连。R1和C2起到了对故障信号的放大和滤波,当有干扰信号后,能让微机正确接受信息。
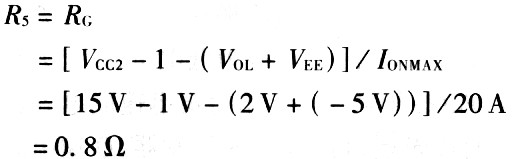
在输出端,R5和C7关系到IGBT开通的快慢和开关损耗,增加C7可以明显地减小dic/dt。首先计算栅极电阻:其中ION为开通时注入IGBT的栅极电流。为使IGBT迅速开通,设计,IONMAX值为20A。输出低电平VOL=2v??傻?br />


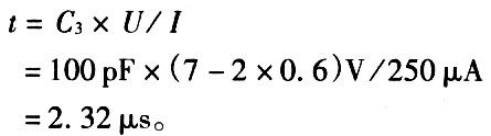
C3是一个非常重要的参数,最主要起充电延时作用。当系统启动,芯片开始工作时,由于IGBT的集电极C端电压还远远大于7V,若没有C3,则会错误地发出短路故障信号,使输出直接关断。当芯片正常工作以后,假使集电极电压瞬间升高,之后立刻恢复正常,若没有C3,则也会发出错误的故障信号,使IGBT误关断。但是,C3的取值过大会使系统反应变慢,而且在饱和情况下,也可能使IGBT在延时时间内就被烧坏,起不到正确的?;ぷ饔?, C3取值100pF,其延时时间


在集电极检测电路用两个二极管串连,能够提高总体的反向耐压,从而能够提高驱动电压等级,但二极管的反向恢复时间要很小,且每个反向耐压等级要为1000V,一般选取BYV261E,反向恢复时间75 ns。R4和C5的作用是保留HCLP-316J出现过流信号后具有的软关断特性,其原理是C5通过内部MOSFET的放电来实现软关断。图3中输出电压VOUT经过两个快速三极管推挽输出,使驱动电流最大能达到20A,能够快速驱动1700v、200-300A的IGBT。
3.3驱动电源设计
在驱动设计中,稳定的电源是IGBT能否正常工作的保证。如图4所示。电源采用正激变换,抗干扰能力较强,副边不加滤波电感,输入阻抗低,使在重负载情况下电源输出电压仍然比较稳定。


当s开通时,+12v(为比较稳定的电源,精度很高)电压便加到变压器原边和S相连的绕组,通过能量耦合使副边经过整流输出。当S关断时,通过原边二极管和其相连的绕组把磁芯的能量回馈到电源,实现变压器磁芯的复位。555定时器接成多谐振荡器,通过对C1的充放电使脚2和脚6的电位在4~8v之间变换,使脚3输出电压方波信号,并用方波信号来控制S的开通和关断。+12v经过R1,D2给C1充电,其充电时间t1≈R1C2ln2;放电时间t2=R2C1ln2,充电时输出高电平,放电时输出低电平。所以占空比=t1/(t1+t2)。
变压器按下述参数进行设计:原边接+12v,频率为60kHz,工作磁感应强度Bw为O.15T,副边+15v输出2A,-5v输出1 A,效率n=80%,窗口填充系数Km为O.5,磁芯填充系数Kc为1,线圈导线电流密度d为3 A/mm2。则输出功率
PT=(15+O.6)×2×2+(5+O.6)×1×2=64W。
变压器磁芯参数


由于带载后驱动电源输出电压会有所下降,所以,在实际应用中考虑提高频率和占空比来稳定输出电压。
4 结语
本文设计了一个可驱动l700v,200~300A的IGBT的驱动电路。硬件上实现了对两个IGBT(同一桥臂)的互锁,并设计了可以直接给两个IGBT供电的驱动电源。