传统的用于电子设备前端的二极管整流器,作为一个谐波电流源,干扰电网线电压,产生向四周辐射和沿导线传播的电磁干扰,导致电源的利用效率下降。近几年来,为了符合国际电工委员会61000-3-2的谐波准则,功率因数校正电路正越来越引起人们的注意。功率因数校正技术从早期的无源电路发展到现在的有源电路;从传统的线性控制方法发展到非线性控制方法,新的拓扑和技术不断涌现。本文归纳和总结了现在有源功率因数校正的主要技术和发展趋势。
1 功率因数(PF)的定义
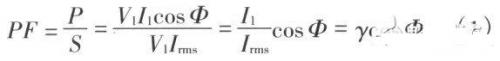
功率因数(PF)是指交流输入有功功率(P)与输入视在功率(S)的比值。即


式中:I1为输入基波电流有效值;

Irms为输入电流有效值;
cosφ为基波电压与基波电流之间的相移因数。
可见PF由γ和cosφ决定。cosφ低,则表示用电电器设备的无功功率大,设备利用率低,导线、变压器绕组损耗大。γ值低,则表示输入电流谐波分量大,对电网造成污染,严重时,对三相四线制供电还会造成中线电位偏移,致使用电电器设备损坏。由于常规整流装置使用晶闸管或二极管,整流器件的导通角远小于180°,从而产生大量谐波电流成分,而谐波电流不做功,只有基波电流做功,功率因数很低。全桥整流器电压和电流波形图如图1所示。


2 功率因数校正实现方法
由式(1)可知,要提高功率因数有两个途径,即使输入电压、输入电流同相位;使输入电流正弦化。
利用功率因数校正技术可以使交流输入电流波形完全跟踪交流输入电压波形,使输入电流波形呈纯正弦波,并且和输入电压同相位,此时整流器的负载可等效为纯电阻。
功率因数校正电路分为有源和无源两类。无源校正电路通常由大容量的电感、电容组成。虽然无源功率因数校正电路得到的功率因数不如有源功率因数校正电路高,但仍然可以使功率因数提高到o.7~0.8,因而在中小功率电源中被广泛采用。有源功率因数校正电路自上世纪90年代以来得到了迅速推广。它是在桥式整流器与输出电容滤波器之间加入一个功率变换电路,使功率因数接近1.有源功率因数校正电路工作于高频开关状态,体积小、重量轻,比无源功率因数校正电路效率高。本文主要讨论有源功率因数校正方法。
3 有源功率因数校正方法分类
3.l 按有源功率因数校正拓扑分类
3.1.1 降压式
因噪声大,滤波困难,功率开关管上电压应力大,控制驱动电平浮动,很少被采用。
3.1.2 升/降压式
须用二个功率开关管,有一个功率开关管的驱动控制信号浮动,电路复杂,较少采用。
3.1.3 反激式
输出与输入隔离,输出电压可以任意选择,采用简单电压型控制,适用于150W以下功率的应用场合。典型电路如图2所示。


3.1.4 升压式(Boost)
简单电流型控制,户F值高,总谐波失真(THD)小,效率高,但是输出电压高于输入电压。典型电路如图3所示。适用于75~2000W功率范围的应用场合,应用最为广泛。它具有以下优点:电路中的电感L适用于电流型控制;由于升压型APFC的预调整作用在输出电容器C上保持高电压,所以电容器C体积小、储能大;在整个交流输入电压变化范围内能保持很高的功率因数;当输入电流连续时,易于EMI滤波;升压电感L能阻止快速的电压、电流瞬变,提高了电路工作可靠性。


3.2 按输入电流的控制原理分类
3.2.1 平均电流型
工作频率固定,输入电流连续(CCM),波形图如图4(a)所示。TI公司的UC3854就工作在平均电流控制方式。


这种控制力式的优点是:恒频控制;工作在电感电流连续状态,开关管电流有效值小、EMI滤波器体积??;能抑制开关噪声;输入电流波形失真小。
主要缺点是:控制电路复杂,须用乘法器和除法器,需检测电感电流,需电流控制环路。
3.2.2 滞后电流型
工作频率可变,电流达到滞后带内发生功率开关通与断操作,使输入电流上升、下降。电流波形平均值取决于电感输入电流,波形图如图4(b)所示。
3.2.3 峰值电流型
工作频率变化,电流不连续(DCM),波形图如图4(c)所示。DCM采用跟随器方法具有电路简单、易于实现的优点,似存在以下缺点:PF和输入电压Vin与输出电压V0的比值有关,即当Vin变化吋,PF值也将发生变化,同时输入电流波形随Vin/Vo的值的加大而使THD变大;开关管的峰值电流大(在相同容量情况下,DCM中通过开关器件的峰值电流为CCM的2倍),从而导致开关管损耗增加。所以在大功率APFC电路中,常采用CCM方式。
3.2.4 电压控制型
工作频率固定,电流不连续,采用固定占空比的方法,电流自动跟随电压。这种控制方法一般用在输出功率比较小的场合,另外在单级功率因数校正中多采用这种方法,后面会介绍。波形图如图4(d)所示。
3.3 其他控制方法
3.3.1 非线性载波控制技术
非线性载波控制(NLC)不需要采样电压,内部电路作为乘法器,即载波发生器为电流控制环产生时变参考信号。这种控制方法工作在CCM模式,可用于Flyback,Cuk,Boost等拓扑中,其调制方式有脉冲前沿调制和脉冲后沿调制。
3.3.2 单周期控制技术
单周期控制原理图如图5所示,是一种非线性控制技术。该控制方法的突出特点是,无论是稳态还是暂态,它都能保持受控量(通常为斩波波形)的平均值恰好等于或正比于给定值,即能在一个开关周期内,有效地抑制电源侧的扰动,既没有稳态误差,也没有暂态误差,这种控制技术可广泛应用于非线性系统的场合,不必考虑电流模式控制中的人为补偿。
3.3.3 电荷泵控制技术
利用电流互感器检测开关管的开通电流,并给检测电容充电,当充电电压达到控制电压时关闭开关管,并同时放掉检测电容上的电压,直到下一个时钟脉冲到来使开关管再次开通,控制电压与电网输入电压同相位,并按正弦规律变化。由于控制信号实际为开关电流在一个周期内的总电荷,因此称为电荷控制方式
4 功率因数校正技术的发展趋势
4.1 两级功率因数校正技术的发展趋势
目前研究的两级功率因数校正,一般都是指Boost PFC前置级和后随DC/DC功率变换级。如图6所示。对Boost PFC前置级研究的热点有两个,一是功率电路进一步完善,二是控制简单化。如果工作在PWM硬开关状态下,MOSFET的开通损耗和二极管的反向恢复损耗都会相当大,因此,最大的问题是如何消除这两个损耗,相应就有许多关于软开关Boost变换器理论的研究,现在具有代表性的有两种技术,一是有源软开关,二是无源软开关即无源无损吸收网络。




有源软开关采用附加的一些辅助开关管和一些无源的电感电容以及二极管,通过控制主开关管和辅助开关管导通时序来实现ZVS或者ZCS.比较成熟的有ZVT—Boost,ZVS—Boost,ZCS—Boost电路等。虽然有源软开关能有效地解决主开关管的软开关问题,但辅助开关管往往仍然是硬开关,仍然会产生很大损耗,再加上复杂的时序控制,使变换器的成本增加,可靠性降低。
无源无损吸收则是采用无源元件来减小MOSFET的dv/dt和二极管的dv/dt,从而减小开通损耗和反向恢复损耗。它的成本低廉,不需要复杂的控制,可靠性较高。
除了软开关的研究之外,另一个人们关心的研究方向是控制技术。曰前最为常用的控制方法是平均电流控制,CCM/DCM临界控制和滞后控制3种方法。但是新的控制方法不断出现,其中大部分是非线性控制方法,比如非线性载波技术和单周期控制技术。这些控制技术的主要优点是使电路的复杂程度大大降低,可靠性增强。现在商业化的非线性控制芯片有英飞凌公司的一种新的CCM的PFC控制器,被命名为ICElPCSOI,是基于一种新的控制方案开发出来的。与传统的PFC解决方案比较,这种新的集成芯片(IC)无需直接来自交流电源的正弦波参考信号。该芯片采用了电流平均值控制方法,使得功率因数可以达到1.另外,还有IR公司的IRIS51XX系列,基于单周期控制原理,不需要采集输入电压,外围电路简单。
最后,怎样提高功率因数校正器的动态响应是当前摆在我们面前的一个难题。
4.2 单级功率因数校正技术的发展趋势
在20世纪90年代初提出了单级功率因数校正器,主要是将PFC级和DC/DC变换级集成在一起,两级共用开关管。如图7所示。它与传统的两级电路相比省掉了一个MOSFET,增加了一个二极管。另外,其控制采用一般的PWM控制方式,相对简单。但是单级功率校正存在一个非常严重的问题:当负载变轻时,由于输出能量迅速减小,但占空比瞬时不变,输入能量不变,使得输入功率
大于输出功率,中间储能电容电压升高,此时占空比减小以保持DC/DC级输出稳定,最终达到一个新的平衡状态。这样中间储能电容的耐压值需要很高,甚至达到1000V.当负载变重时,情况相反。怎样降低储能电容卜的电压是现在单级功率因数校正研究的热点。


4.3 常用的功率因数校正芯片
4.3.1 非连续电流模式PFC芯片
IFXTDA4862、TDA4863
ST L6561、L6562
Fairchield FAN7527
TI UC3852、UCC38050
SC SG6561
ON MC33262、MC34262、MC33261
4.3.2 连续电流模式PFC芯片
IFX TDAl6888(PFC+PWM)、
1PCS01(PFC)
ST L498I
Fairchield FA4800(PFC+PWM)
TI UC3854、UCC3817、UCC3818
5 结语
总结和归纳了各种有源功率因数校正技术及电路拓扑,叙述了它们的工作原理,并比较了它们的优缺点。
烜芯微专业制造二极管,三极管,MOS管,桥堆等20年,工厂直销省20%,4000家电路电器生产企业选用,专业的工程师帮您稳定好每一批产品,如果您有遇到什么需要帮助解决的,可以点击右边的工程师,或者点击销售经理给您精准的报价以及产品介绍
烜芯微专业制造二极管,三极管,MOS管,桥堆等20年,工厂直销省20%,4000家电路电器生产企业选用,专业的工程师帮您稳定好每一批产品,如果您有遇到什么需要帮助解决的,可以点击右边的工程师,或者点击销售经理给您精准的报价以及产品介绍