1引言
带阻滤波器常用于射频/微波系统中滤除不需要的信号或者抑制寄生响应,抑制不同通信系统之间的干扰,可以解决相近的本地收发天线之间的共址干扰问题。
悬置带线是一种优越的电磁波传输系统,其用途广泛,可以用来实现各种类型的滤波器,不仅可用于传输线谐振器型滤波器,也可用于半集总滤波器的设计。一般来说,在平面传输线中金属损耗占据主导地位,相对于微带线和共面线,悬置带线的横截面较大,这有效降低了金属层的电流密度以及介质中的电场强度,从而能有效减小损耗,同时,屏蔽效应使其不会产生辐射,延伸至空气中的电磁场成分增加,降低色散效应对滤波器性能的影响。
在带阻滤波器的设计中,阻带抑制特性及通带到阻带的过渡特性是设计两个重要方面。带阻滤波器的设计常见于窄带或者宽带的设计,其结构形式多种多样,采用平面传输结构形式具有低成本,易于加工的优点,大量的相关设计的文章发表于各种期刊杂志,但是,关于中等阻带宽度的带阻滤波器设计的文献较为少见,本文设计了一种X波段带阻滤波器,采用“支线式”结构,AnsoftHFSS软件仿真,实现通带2~18GHz,具有15%的阻带带宽,陡峭的过渡带。
2带阻滤波器设计的基本原理
首先,介绍几种平面带阻滤波器的结构形式,如图1所示,这三种滤波器结构是1/4波长短截线微波带阻滤波器的常见类型,“平行耦合式”结构(图1(a)所示)适用于窄带带阻滤波器,“并联基型”(图1(b)所示)适用于宽带带阻滤波器,而“支线式”结构(图1(c)所示)适用于中等带宽带阻滤波器的设计。
本文设计一种中等阻带宽度的带阻滤波器,采用图1(b)所示的支线式电路结构,其等效于图2(a)所示的1/4波长短截线带阻滤波器基型电路,这种基型带阻滤波器的准确设计公式[5],可以应用频率变换和黑田变换,直接从集总原件LC梯形低通原型推导出来,具体步骤是:①确定低通原型;②将各元件乘以带宽因子;③加入单位元件,应用黑田变换;④确定电路结构。


图1带阻滤波器的几种结构形式
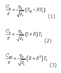
支线式结构于平行耦合式结构是等效的,它们均等效于图2b)所示的结构形式,同时等效于图2a)所示的1/4波长短截线带阻滤波器并联基型,这两种滤波器的单节与基型单节的参数间的关系为:

其中,

实现条件为:

式中,Y1为并联短截线的特性导纳,Y12为联接线的特性导纳,Ca、Cb为杆对地单位长自电容,为杆间单位长互电容,η0为自由空间波阻抗,εr为相对介电常数。


图2支线式带阻滤波器的等效
3X波段带阻滤波器设计
本文所设计的带阻滤波器的技术指标如下:
中心频率:f0=11.8GHz
阻带:10.9GHz-12.7GHz(相对带宽15%)
阻带内衰减:L≥45dB
通带插损:IL≤2.0dB@2-10.1GHz13.5-18GHz
根据前面的分析,采用支线式结构设计滤波器能够满足15%阻带带宽的要求,根据阻带衰减要求,取n=10,采用RT/durold®6002陶瓷板作为基板,相对于微带线来说,悬置带线能够减小损耗,能够获得更加优越的过渡带特性。在ADS中建立原理图,给出各短截线及主线的初值并优化,从而得到带阻滤波器的各结构参数的较准确的值,在此基础之上,采用Ansoft公司的三维电磁场仿真软件HFSS建立三维模型,进行参数扫描或者优化,确定参数的精确值,得到满足指标要求的仿真曲线,如图3所示,阻带衰减大于45dB的范围约为16%,通带插损不大于2.0dB,满足设计指标的要求。这样,既利用了原理图设计的简单性及快速性,又利用了三维电磁场仿真的准确性,从而可以快速而准确的设计出所需要的滤波器电路。


图3带阻滤波器仿真曲线
根据仿真得到的结构参数的准确值,进行了加工与测量,其实物照片如图4所示。


图4带阻滤波器实物图
采用安捷伦公司的E8363B矢网测试,测量结果如图5所示。测量结果显示:阻带衰减在10.9GHz-12.7GHz范围内大于48dB,其边带特性较仿真有一定的恶化,在调试过程中发现:无论调节那个一谐振,其第二个通带(13.5-18GHz)的驻波变化很小,基本上没有改善,而第一个通带(2-10.1GHz)的驻波均可以通过调试使其小于2,可调性很高。分析出现以上情况的原因,一是软件求解存在的仿真误差,二是加工误差的引入,三是部分结构参数不可调,只能调节各个谐振支线的电长度,其耦合不可调,导致第二通带驻波有一定的恶化??梢酝ü徊降挠呕抡?,提高加工精度,适当减小谐振短截线的长度,改善高端的驻波比,通过调谐钉补偿谐振器的电长度,以达到改善滤波器性能的目标。


图5带阻滤波器测量曲线
4结论
本文采用支线式结构设计了一种中等阻带带宽的带阻滤波器,使用悬置带线结构获得较高的Q值,陡峭的边带过渡特性,该滤波器还具有低成本、易于加工的优点,满足工程应用的需要。
烜芯微专业制造二极管,三极管,MOS管,桥堆等20年,工厂直销省20%,4000家电路电器生产企业选用,专业的工程师帮您稳定好每一批产品,如果您有遇到什么需要帮助解决的,可以点击右边的工程师,或者点击销售经理给您精准的报价以及产品介绍
烜芯微专业制造二极管,三极管,MOS管,桥堆等20年,工厂直销省20%,4000家电路电器生产企业选用,专业的工程师帮您稳定好每一批产品,如果您有遇到什么需要帮助解决的,可以点击右边的工程师,或者点击销售经理给您精准的报价以及产品介绍