反激式开关电源结构简单,应用广泛,但其变压器漏感大,开关管存在电压尖峰,在大部分低功率应用场合都会采用简单易实现的RCD钳位电路来减缓电压尖峰,这里将简单介绍RCD电路的工作原理以及如何确定钳位电路中的参数。
单端反激式开关电源具有结构简单,输入输出电气隔离,输入电压范围宽,易于实现多路输出,可靠性高,成本低等优点而广泛应用于中小功率场合。但由于反激变压器漏感影响,其功率开关管在关断时将引起电压尖峰,必须用钳位电路加以抑制,因此RCD钳位电路以其简洁易实现多用于小功率场合。图 1和图 2分别为反激电路中的RCD钳位电路和电容C两端的电压波形。


图 1反激中的 RCD钳位电路


图 2 电容两端波形
1.漏感的抑制
变压器的漏感是不可消除的,但可以通过合理的电路设计和绕制使之减小。设计和绕制是否合理,对漏感的影响是很明显的。采用合理的方法,可将漏感控制在初级电感的2%左右。
设计时应综合变压器磁芯的选择和初级匝数的确定,尽量使初级绕组可紧密绕满磁芯骨架一层或多层。绕制时绕线要尽量分布得紧凑、均匀,这样线圈和磁路空间上更接近垂直关系,耦合效果更好。初级和次级绕线也要尽量靠得紧密。
励磁电感LM同理想变压器并联,漏感LK同励磁电感串联,变压器中漏感能量不能传递到副边,若不采取措施,漏感将通过寄生电容释放能量,引起电压过冲和振荡,引起EMI。为抑制其影响,可在变压器初级并联RCD钳位电路。
2.钳位电路的工作原理
引入RCD钳位电路,目的是消耗漏感能量,但不能消耗主励磁电感能量,否则会降低电路效率,因此在电路设计调试过程中要选择恰当的R及C的值,以使其刚好消耗掉漏感能量。下面将分析其工作原理。
当开关管Q关断时,变压器初级线圈电压反向,同时漏感LK释放能量直接对C进行充电,电容C电压迅速上升,二极管D截止后C通过R进行放电
若C值较大,C上电压缓慢上升,副边反激过冲小,变压器能量不能迅速传递到副边;若C值特别大,电压峰值小于副边反射电压,则钳位电容上电压将一直保持在副边反射电压附近,即钳位电阻变为负载,一直在消耗磁芯能量,此时电容两端波形如图 3 (a)所示。


图 3 电容两端波形
若RC过小,则电容C充电较快,且C将通过电阻R很快放电,整个过程中漏感能量消耗很快,在Q开通前钳位电阻则成为变压器的负载,消耗变压器存储的能量,降低效率,电容C两端波形如图 3(b)所示。
若RC值取值比较合适,到开关管Q再次开通时,电容C上电压刚好放到接近于变压器副边反射的电压,此时钳位效果较好,电容C两端波形如图 3 (c)所示。
3.总结
开关管漏极上的电压由三部分组成:电源电压,反激感应电压,漏感冲击电压。 吸收电路,一定要让他只吸收漏感冲击电压,而不要对另外电压起作用,那样不仅会增大吸收电阻的负担,还会降低开关电源的效率。
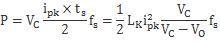
首先确定吸收电路所要消耗的功率:


由于吸收电容的另一端是接在正电源上的,所以它的电压只有两部分:反激感应电压,漏感冲击电压。电容C两端电压为VC,变压器漏感为LK,匝比为n,则漏感中电流的下降斜率为:


可以得出漏感电流的下降时间tS为:


其中ipk为变压器初级峰值电流。
钳位电容的电压VC应在变换器输入电压最低、满载时确定,一旦确定了VC,则可计算出吸收电路消耗的功率为:


其中fS为变换器的开关频率。
确定了吸收电路消耗的功率后,则可确定钳位电阻的大?。?br />


在开关管开关过程中,钳位电容C两端电压变化量为ΔVC,通常可根据VC取合适的ΔVC,由此可进一步确定钳位电容大?。?br />


最后,对于钳位电容两端的电压VC根据变压器反射电压nVO确定,通常取2~2.5倍即可,取值过小会引起较大损耗。RCD钳位电路的计算只是确定R与C值的数量级,其具体参数可根据实际测试波形做调整,以达到最佳效果。
烜芯微专业制造二极管,三极管,MOS管,桥堆等20年,工厂直销省20%,4000家电路电器生产企业选用,专业的工程师帮您稳定好每一批产品,如果您有遇到什么需要帮助解决的,可以点击右边的工程师,或者点击销售经理给您精准的报价以及产品介绍
烜芯微专业制造二极管,三极管,MOS管,桥堆等20年,工厂直销省20%,4000家电路电器生产企业选用,专业的工程师帮您稳定好每一批产品,如果您有遇到什么需要帮助解决的,可以点击右边的工程师,或者点击销售经理给您精准的报价以及产品介绍