一、放大电路的组成与各元件的作用
Rb和Rc:提供适合偏置——发射结正偏,集电结反偏。C1、C2是隔直(耦合)电容,隔直流通交流。


共射放大电路Vs,Rs:信号源电压与内阻;RL:负载电阻,将集电极电流的变化△ic转换为集电极与发射极间的电压变化△VCE


二、放大电路的基本工作原理
静态(Vi=0,假设工作在放大状态)分析,又称直流分析,计算三极管的电流和极间电压值,应采用直流通路(电容开路)。
基极电流:IB=IBQ=(VCC-VBEQ)/Rb集电极电流:IC=ICQ=βIBQ集-射间电压:VCE=VCEQ=VCC-ICQRc动态(vi≠0)分析:






放大电路对信号的放大作用是利用三极管的电流控制作用来实现,其实质上是一种能量转换器。
三、构成放大电路的基本原则
放大电路必须有合适的静态工作点:直流电源的极性与三极管的类型相配合,电阻的设置要与电源相配合,以确保器件工作在放大区。输入信号能有效地加到放大器件的输入端,使三极管输入端的电流或电压跟随输入信号成比例变化,经三极管放大后的输出信号(如ic=β*ib)应能有效地转变为负载上的输出电压信号。
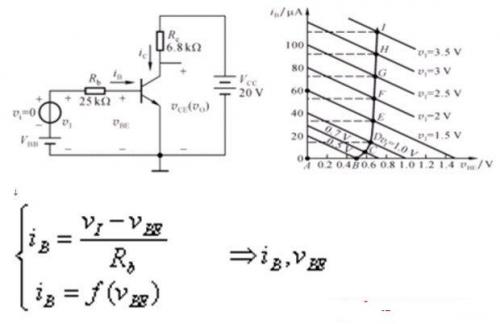
电压传输特性和静态工作点
一、单管放大电路的电压传输特性
图解分析法:




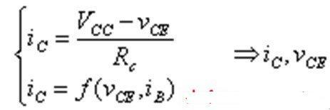
输出回路方程:


输出特性曲线:


AB段:截止区,对应于输出特性曲线中iB<0的部分。
BCDEFG段:放大区
GHI段:饱和区
作为放大应用时:Q点应置于E处(放大区中心)。若Q点设置C处,易引起载止失真。若Q点设置F处,易引起饱和失真。
用于开关控制场合:工作在截止区和饱和区上。
二、单管放大电路静态工作点(公式法计算)
单电源固定偏置电路:选择合适的Rb,Rc,使电路工作在放大状态。


工作点稳定的偏置电路:该方法为近似估算法。


分压式偏置电路:




稳定工作点的另一种解释:温度T↑→IC↑→IE↑→VE↑(=IERe)↓(VB固定),则IC↓IB↓VBE↓(=VB-VE)。
在静态情况下,温度上升引起IC增加,由于基极电位VB基本固定,该电流增量通过Re产生负反馈,迫使IC自动下降,使Q点保持稳定。Re愈大,负反馈作用愈强,稳定性也愈好。但Re过大,输出的动态范围(ΔVCE)变小,易引起失真。Rb1、Rb2愈小,VB愈稳定。但它们过小将使放大能力下降。工程设计时,应综合考虑电阻阻值的影响。
经验公式:I1=(5~10)IBQ,VEQ=IEQRe=0.2VCC(或VEQ=1~3V)。
烜芯微专业制造二极管,三极管,MOS管,桥堆等20年,工厂直销省20%,1500家电路电器生产企业选用,专业的工程师帮您稳定好每一批产品,如果您有遇到什么需要帮助解决的,可以点击右边的工程师,或者点击销售经理给您精准的报价以及产品介绍
烜芯微专业制造二极管,三极管,MOS管,桥堆等20年,工厂直销省20%,1500家电路电器生产企业选用,专业的工程师帮您稳定好每一批产品,如果您有遇到什么需要帮助解决的,可以点击右边的工程师,或者点击销售经理给您精准的报价以及产品介绍