功率MOSFET概述
功率MOS场效应晶体管,即MOSFET,其原意是:MOS(Metal Oxide Semiconductor金属氧化物半导体),FET(Field Effect Transistor场效应晶体管),即以金属层(M)的栅极隔着氧化层(O)利用电场的效应来控制半导体(S)的场效应晶体管。
功率MOSFET分析
(一)功率MOSFET的正向导通等效电路
(1)等效电路

(2)说明:
功率 MOSFET 正向导通时可用一电阻等效,该电阻与温度有关,温度升高,该电阻变大;它还与门极驱动电压的大小有关,驱动电压升高,该电阻变小。详细的关系曲线可从制造商的手册中获得。
(二)功率MOSFET的反向导通等效电路(1)
(1)等效电路(门极不加控制)

(2)说明:
即内部二极管的等效电路,可用一电压降等效,此二极管为MOSFET 的体二极管,多数情况下,因其特性很差,要避免使用。
(三)功率MOSFET的反向导通等效电路(2)
(1)等效电路(门极加控制)

(2)说明:
功率 MOSFET 在门级控制下的反向导通,也可用一电阻等效,该电阻与温度有关,温度升高,该电阻变大;它还与门极驱动电压的大小有关,驱动电压升高,该电阻变小。详细的关系曲线可从制造商的手册中获得。此工作状态称为MOSFET 的同步整流工作,是低压大电流输出开关电源中非常重要的一种工作状态。
(四)功率MOSFET的正向截止等效电路
(1)等效电路

(2)说明:
功率 MOSFET 正向截止时可用一电容等效,其容量与所加的正向电压、环境温度等有关,大小可从制造商的手册中获得。
(五)功率MOSFET的稳态特性总结
(1)功率MOSFET 稳态时的电流/电压曲线

(2)说明:
功率 MOSFET 正向饱和导通时的稳态工作点:

当门极不加控制时,其反向导通的稳态工作点同二极管。
(3)稳态特性总结:
1、门极与源极间的电压Vgs 控制器件的导通状态;当VgsVth时,器件处于导通状态;器件的通态电阻与Vgs有关,Vgs大,通态电阻小;多数器件的Vgs为 12V-15V ,额定值为+-30V;
2、器件的漏极电流额定是用它的有效值或平均值来标称的;只要实际的漏极电流有效值没有超过其额定值,保证散热没问题,则器件就是安全的;
3、器件的通态电阻呈正温度系数,故原理上很容易并联扩容,但实际并联时,还要考虑驱动的对称性和动态均流问题;
4、目前的 Logic-Level的功率 MOSFET,其Vgs只要 5V,便可保证漏源通态电阻很小;
5、器件的同步整流工作状态已变得愈来愈广泛,原因是它的通态电阻非常小(目前最小的为2-4 毫欧),在低压大电流输出的DC/DC 中已是最关键的器件;
(六)包含寄生参数的功率MOSFET等效电路
(1)等效电路

(2)说明:
实际的功率MOSFET 可用三个结电容,三个沟道电阻,和一个内部二极管及一个理想MOSFET 来等效。三个结电容均与结电压的大小有关,而门极的沟道电阻一般很小,漏极和源极的两个沟道电阻之和即为MOSFET 饱和时的通态电阻。
(七)功率MOSFET的开通和关断过程原理
(1)开通和关断过程实验电路

(2)MOSFET 的电压和电流波形:

(3)开关过程原理:
开通过程[t0 ~ t4]:
1、在 t0 前,MOSFET 工作于截止状态,t0 时,MOSFET 被驱动开通;
2、[t0-t1]区间,MOSFET 的GS 电压经Vgg 对Cgs充电而上升,在t1时刻,到达维持电压Vth,MOSFET 开始导电;
3、[t1-t2]区间,MOSFET 的DS 电流增加,Millier 电容在该区间内因DS 电容的放电而放电,对GS 电容的充电影响不大;
4、[t2-t3]区间,至t2 时刻,MOSFET 的DS 电压降至与Vgs 相同的电压,Millier 电容大大增加,外部驱动电压对Millier 电容进行充电,GS 电容的电压不变,Millier 电容上电压增加,而DS电容上的电压继续减小;
5、[t3-t4]区间,至t3 时刻,MOSFET 的DS 电压降至饱和导通时的电压,Millier 电容变小并和GS 电容一起由外部驱动电压充电,GS 电容的电压上升,至t4 时刻为止。此时GS 电容电压已达稳态,DS 电压也达最小,即稳定的通态压降。
关断过程[ t5 ~t9 ]:
1、在 t5 前,MOSFET 工作于导通状态, t5 时,MOSFET 被驱动关断;
2、[t5-t6]区间,MOSFET 的Cgs 电压经驱动电路电阻放电而下降,在t6 时刻,MOSFET 的通态电阻微微上升,DS 电压梢稍增加,但DS 电流不变;
3、[t6-t7]区间,在t6 时刻,MOSFET 的Millier 电容又变得很大,故GS 电容的电压不变,放电电流流过Millier 电容,使DS 电压继续增加;
4、[t7-t8]区间,至t7 时刻,MOSFET 的DS 电压升至与Vgs 相同的电压,Millier 电容迅速减小,GS 电容开始继续放电,此时DS 电容上的电压迅速上升,DS 电流则迅速下降;
5、[t8-t9]区间,至t8 时刻,GS 电容已放电至Vth,MOSFET 完全关断;该区间内GS 电容继续放电直至零。
(八)因二极管反向恢复引起的MOSFET开关波形
(1)实验电路

(2)因二极管反向恢复引起的MOSFET开关波形:

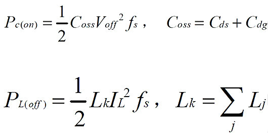
(九)功率MOSFET的功率损耗公式
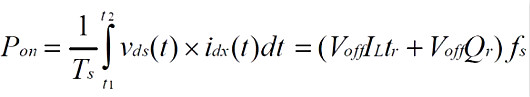
(1)导通损耗:

该公式对控制整流和同步整流均适用

该公式在体二极管导通时适用
(2)容性开通和感性关断损耗:

为MOSFET 器件与二极管回路中的所有分布电感只和。一般也可将这个损耗看成器件的感性关断损耗。
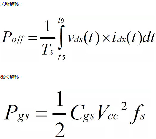
(3)开关损耗:
开通损耗:

考虑二极管反向恢复后:


(十)功率MOSFET的选择原则与步骤
(1)选择原则
(A)根据电源规格,合理选择MOSFET 器件(见下表):
(B)选择时,如工作电流较大,则在相同的器件额定参数下,
应尽可能选择正向导通电阻小的 MOSFET;
应尽可能选择结电容小的 MOSFET。

(2)选择步骤
(A)根据电源规格,计算所选变换器中MOSFET 的稳态参数:
正向阻断电压最大值;
最大的正向电流有效值;
(B)从器件商的DATASHEET 中选择合适的MOSFET,可多选一些以便实验时比较;
(C)从所选的MOSFET 的其它参数,如正向通态电阻,结电容等等,估算其工作时的最大损耗,与其它元器件的损耗一起,估算变换器的效率;
(D)由实验选择最终的MOSFET器件。
(十一)开关器件的分类
(1)按制作材料分类:
1、(Si)功率器件;
2、(Ga)功率器件;
3、(GaAs)功率器件;
4、(SiC)功率器件;
5、(GaN)功率器件;
6、(Diamond)功率器件;
(2)按是否可控分类:
1、完全不控器件:如二极管器件;
2、可控制开通,但不能控制关断:如普通可控硅器件;
3、全控开关器件
4、电压型控制器件:如MOSFET,IGBT,IGT/COMFET ,SIT 等;
5、电流型控制期间:如GTR,GTO 等
(3)按工作频率分类:
1、低频功率器件:如可控硅,普通二极管等;
2、中频功率器件:如GTR,IGBT,IGT/COMFET;
3、高频功率器件:如MOSFET,快恢复二极管,萧特基二极管,SIT等
(4)按额定可实现的最大容量分类:
1、小功率器件:如MOSFET
2、中功率器件:如IGBT
3、大功率器件:如GTO
(5):按导电载波的粒子分类:
1、多子器件:如MOSFET,萧特基,SIT,JFET 等
2、少子器件:如IGBT,GTR,GTO,快恢复,等
烜芯微专业制造二极管,三极管,MOS管,桥堆等20年,工厂直销省20%,1500家电路电器生产企业选用,专业的工程师帮您稳定好每一批产品,如果您有遇到什么需要帮助解决的,可以点击右边的工程师,或者点击销售经理给您精准的报价以及产品介绍
烜芯微专业制造二极管,三极管,MOS管,桥堆等20年,工厂直销省20%,1500家电路电器生产企业选用,专业的工程师帮您稳定好每一批产品,如果您有遇到什么需要帮助解决的,可以点击右边的工程师,或者点击销售经理给您精准的报价以及产品介绍