mos场效应管四个区域
本文主要讲mos管饱和区电流公式,但是我们先来看一下mos场效应管四个区域详解。
1)可变电阻区(也称非饱和区)
满足Ucs》Ucs(th)(开启电压),uDs《UGs-Ucs(th),为图中预夹断轨迹左边的区域其沟道开启。在该区域UDs值较小,沟道电阻基本上仅受UGs控制。当uGs一定时,ip与uDs成线性关系,该区域近似为一组直线。这时场效管D、S间相当于一个受电压UGS控制的可变电阻。
2)恒流区(也称饱和区、放大区、有源区)
满足Ucs≥Ucs(h)且Ubs≥UcsUssth),为图中预夹断轨迹右边、但尚未击穿的区域,在该区域内,当uGs一定时,ib几乎不随UDs而变化,呈恒流特性。i仅受UGs控制,这时场效应管D、S间相当于一个受电压uGs控制的电流源。场效应管用于放大电路时,一般就工作在该区域,所以也称为放大区。
3)夹断区(也称截止区)
夹断区(也称截止区)满足ucs《Ues(th)为图中靠近横轴的区域,其沟道被全部夹断,称为全夹断,io=0,管子不工作。
4)击穿区位
击穿区位于图中右边的区域。随着UDs的不断增大,PN结因承受太大的反向电压而击穿,ip急剧增加。工作时应避免管子工作在击穿区。
转移特性曲线可以从输出特性曲线。上用作图的方法求得。例如在图3( a)中作Ubs=6V的垂直线,将其与各条曲线的交点对应的i、Us值在ib- Uss 坐标中连成曲线,即得到转移性曲线,如图3(b)所示。

mos管饱和区电流公式及其详解
mos管饱和区电流公式,在强反型状态下饱和区中的工作。小信号参数的值因MOS晶体管的工作区域而变化。假定MOS晶体管处于VGS比阈值电压VT高得多的强反型状态,而且工作在饱和区,求这种状况下的小信号参数。
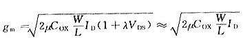
可将跨导gm表示如下:

在能够疏忽沟道长度调制效应的状况下,得到

这个跨导gm能够用漏极电流ID表示为

也能够用漏极电流ID和栅极-源极间电压VGS表示为

体跨导gmb能够由下式求得:

由式(1.18)和式(1.20),能够分别导出

所以得到

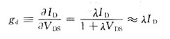
应用式(1.18),能够将漏极电导表示为

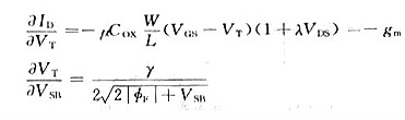
应用这些小信号参数,能够将小信号漏极电流id表示为下式:

MOS管的夹断区和饱和区的区别是什么
栅极电压可以产生沟道,也可以使沟道消失——夹断;而源-漏电压也有可能使MOSFET的沟道夹断(局部夹断),则沟道夹断的电压对应有两个电压。一般,产生或者夹断沟道的栅极电压称为阈值电压VT,而使沟道夹断的源-漏电压往往称为饱和电压Vsat,因为这时的源-漏电流最大、并饱和(即与源-漏电压无关)。
(1) 耗尽型n-MOSFET:
耗尽型MOSFET在栅极电压为0时即存在沟道。当负栅电压增大到使沟道夹断(整个沟道均匀夹断)时,这时的栅电压就称为夹断电压Vp——耗尽型MOSFET的阈值电压。
在VGS>Vp时,IDS=0,即为截止状态。
在VGS<Vp时,存在沟道,IDS≠0:若VDS较低,则为线性导电状态;若VDS= (Vp-VGS)时,则沟道在漏极端附近处夹断(非整个沟道夹断),漏极电流达到最大——饱和电流,这时的源-漏电压就称为饱和电压。饱和电压也就是使沟道发生局部夹断时的源-漏电压。在VDS≥Vsat=(Vp-VGS)即为MOSFET的饱和区。
(2)增强型n-MOSFET:
增强型MOSFET在栅极电压为0时即不存在沟道。当正栅电压增大到出现沟道时,这时的栅极电压特称为开启电压Vop——增强型MOSFET的阈值电压。
在VGS<Vop时,没有沟道,则IDS=0,即为截止状态。
在VGS>Vop时,存在沟道,IDS≠0:若VDS较低,则为线性导电状态;若VDS≥ (VGS-Vop)时,则沟道在漏极端附近处夹断(非整个沟道夹断),漏极电流达到最大、并饱和,MOSFET即进入饱和状态。沟道开始夹断时的源-漏电压即为饱和电压Vsat= (VGS-Vop)。
(3)沟道夹断以后的导电性:
场效应晶体管是依靠多数载流子在沟道中的导电来工作的。没有沟道(栅极电压小于阈值电压时),即不导电——截止状态。出现了沟道(栅极电压大于阈值电压时),即可导电;并且在源-漏电压增大到使得沟道在漏极端夹断以后,其电流达到最大——饱和电流,即导电性能更好。为什么集电区能够很好地导电?
因为沟道夹断区实际上就是载流子被耗尽的区域,其中存在有沿着沟道方向的电场,所以只要有载流子到达夹断区边缘,就很容易被扫过夹断区而到达漏极——输出电流??杉?,沟道夹断区与BJT的反偏集电结的势垒区类似,不但不起阻挡载流子的作用,而且还将有利于载流子的通过。因此,沟道夹断以后,器件的输出电流饱和,即达到最大。
烜芯微专业制造二极管,三极管,MOS管,桥堆等20年,工厂直销省20%,1500家电路电器生产企业选用,专业的工程师帮您稳定好每一批产品,如果您有遇到什么需要帮助解决的,可以点击右边的工程师,或者点击销售经理给您精准的报价以及产品介绍
烜芯微专业制造二极管,三极管,MOS管,桥堆等20年,工厂直销省20%,1500家电路电器生产企业选用,专业的工程师帮您稳定好每一批产品,如果您有遇到什么需要帮助解决的,可以点击右边的工程师,或者点击销售经理给您精准的报价以及产品介绍