电源是将其它形式的能转换成电能的装置。
电源自“磁生电”原理,由水力、风力、海潮、水坝水压差、太阳能等可再生能源,及烧煤炭、油渣等产生电力来源。
常见的电源是干电池(直流电)与家用的110V-220V 交流电源。本文将为你解析10个电源设计最常用的公式。非常实用,推荐收藏。
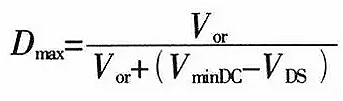
1、MOSFET开关管工作的最大占空比Dmax

式中:Vor为副边折射到原边的反射电压,当输入为AC 220V时反射电压为135V;VminDC为整流后的最低直流电压; VDS为MOSFET功率管导通时D与S极间电压,一般取10V。
2、变压器原边绕组电流峰值IPK为

式中:η为变压器的转换效率;Po为输出额定功率,单位为W。
3、变压器原边电感量LP为

式中:Ts为开关管的周期(s);LP单位为H。
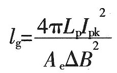
4.变压器的气隙lg为

式中:Ae为磁芯的有效截面积(cm2);△B为磁芯工作磁感应强度变化值(T);Lp单位取H,IPK单位取A,lg单位为mm。
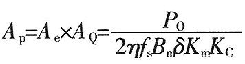
5.变压器磁芯
反激式变换器功率通常较小,一般选用铁氧体磁芯作为变压器磁芯,其功率容量AP为

式中:AQ为磁芯窗口面积,单位为cm2;Ae为磁芯的有效截面积,单位为cm2;Po是变压器的标称输出功率,单位为W;fs为开关管的 开关频率;Bm为磁芯最大磁感应强度,单位为T;δ为线圈导线的电流密度,通常取200~300A/cm2,η是变压器的转换效率;Km为窗口填充系数, 一般为0.2~0.4;KC为磁芯的填充系数,对于铁氧体为1.0。
根据求得的AP值选择余量稍大的磁芯,一般尽量选择窗口长宽之比较大的磁芯,这样磁芯的窗口有效使用系数较高,同时可以减少漏感。
6、变压器原边匝数NP

式中:△B为磁芯工作磁感应强度变化值(T),Ae单位为cm2,Ts单位为s。
7.变压器副边匝数NS

式中:VD为变压器二次侧整流二极管导通的正向压降。
8.功率开关管的选择
开关管的最小电压应力UDS

一般选择DS间击穿电压应比式(9)计算值稍大的MOSFET功率管。
9.绕组铜耗PCU

原、副边绕组电阻值可通过求绕组电阻值R的公式求出,当求原边绕组铜耗时,电流用原边峰值电流IPK来计算;求副边绕组铜耗时,电流用输出电流Io来计算。
10.磁芯损耗
磁芯损耗取决于工作频率、工作磁感应强度、电路工作状态和所选用的磁芯材料的性能。对于双极性开关变压器,磁芯损耗PC:

式中:Pb为在工作频率、工作磁感应强度下单位质量的磁芯损耗(W/kg); Gc为磁芯质量(Kg)。
对于单极性开关变压器,由于磁芯工作于磁滞回线的半区,所以磁芯损耗约为双极性开关变压器的一半。变压器总损耗为总铜耗与磁芯损耗之和。
烜芯微专业制造二极管,三极管,MOS管,桥堆等20年,工厂直销省20%,1500家电路电器生产企业选用,专业的工程师帮您稳定好每一批产品,如果您有遇到什么需要帮助解决的,可以点击右边的工程师,或者点击销售经理给您精准的报价以及产品介绍
烜芯微专业制造二极管,三极管,MOS管,桥堆等20年,工厂直销省20%,1500家电路电器生产企业选用,专业的工程师帮您稳定好每一批产品,如果您有遇到什么需要帮助解决的,可以点击右边的工程师,或者点击销售经理给您精准的报价以及产品介绍