mos管公式详解

mos管公式-MOS管驱动电流的估算
mos管公式驱动电流的估算第一种:
可以使用如下公式估算:
Ig=Qg/Ton
其中:
Ton=t3-t0≈td(on)+tr
td(on):MOS导通延迟时间,从有驶入电压上升到10%开始到VDS下降到其幅值90%的时间。
Tr:上升时间。输出电压VDS从90%下降到其幅值10%的时间
Qg=(CEI)(VGS)或Qg=Qgs+Qgd+Qod (可在datasheet中找到)
mos管公式驱动电流的估算第二种:
密勒效应时间(开关时间)Ton/off=Qgd/Ig;
Ig=[Vb-Vgs(th)]/Rg;
Ig:MOS栅极驱动电流;Vb:稳态栅极驱动电压;
mos管公式驱动电流的估算第三种:
以IR的IRF640为例,看DATASHEET里有条Total Gate Charge曲线。该曲线先上升然后几乎水平再上升。水平那段是管子开通(密勒效应)假定你希望在0.2us内使管子开通,估计总时间(先上升然后水平再上升)为0.4us,由Qg=67nC和0.4us可得:
67nC/0.4us=0.1675A,当然,这是峰值,仅在管子开通和关短的各0.2us里有电流,其他时间几乎没有电流,平均值很小,但如果驱动芯片不能输出这个峰值,管子的开通就会变慢。

mos管公式饱和区电流公式及其详解
mos管公式饱和区电流公式,在强反型状态下饱和区中的工作。小信号参数的值因MOS晶体管的工作区域而变化。假定MOS晶体管处于VGS比阈值电压VT高得多的强反型状态,而且工作在饱和区,求这种状况下的小信号参数。
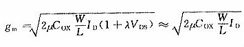
可将跨导gm表示如下:

在能够疏忽沟道长度调制效应的状况下,得到

这个跨导gm能够用漏极电流ID表示为

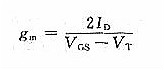
也能够用漏极电流ID和栅极-源极间电压VGS表示为

体跨导gmb能够由下式求得:

由式(1.18)和式(1.20),能够分别导出

所以得到



烜芯微专业制造二极管,三极管,MOS管,桥堆等20年,工厂直销省20%,1500家电路电器生产企业选用,专业的工程师帮您稳定好每一批产品,如果您有遇到什么需要帮助解决的,可以点击右边的工程师,或者点击销售经理给您精准的报价以及产品介绍