负温度系数NTC热敏电阻由烧结金属氧化物制成。它们与温度的小幅增加成比例地显示出大的电阻降低。
通过将一个小的测量直流电流(DC)通过热敏电阻并测量产生的电压降来计算它们的电阻。


探针族特征图像
应用
• 温度测量
• 温度补偿
• 温度控制
NTC热敏电阻选择时的5个基本注意事项
• 温度范围
1. 选择温度传感器时,首先要考虑的是应用的温度范围。
2.由于NTC热敏电阻在-50°C至250°C的工作温度范围内表现良好,因此非常适合许多不同行业的广泛应用。
• 准确性
1.在基本传感器类型中,NTC热敏电阻实现最高精度的能力在-50°C至150°C范围内,对于玻璃封装热敏电阻最高可达250°C。
2.精度范围为0.05°C至1.00°C。
• 稳定性
1.在长期运行是目标的应用中,稳定性非常重要。温度传感器会随着时间的推移而漂移,具体取决于材料,结构和包装。
2.涂有环氧树脂的NTC热敏电阻每年可以改变0.2°C,而气密密封的NTC热敏电阻每年仅改变0.02°C。
• NTC热敏电阻封装
1.包装要求取决于传感器将使用的环境。
2.NTC热敏电阻可根据应用要求定制并封装在各种外壳中。它们也可以是环氧树脂涂层或玻璃封装,以进一步保护。
• 抗噪声
1.NTC热敏电阻具有出色的抗电噪声和抗铅电阻性能。


NTC热敏电阻
更多考虑因素
• NTC热敏电阻具有特定的电气特性:
1. 当前时间特征
2. 电压 - 电流特性
3. 电阻 - 温度特性
• 产品类型和尺寸
1. 热敏电阻用户通常会知道在尺寸,热响应,时间响应以及热敏电阻配置中的其他物理特性方面需要什么。即使缺少数据,也应该很容易缩小NTC热敏电阻的选择范围,但必须仔细分析热敏电阻的预期应用。
• 电阻 - 温度曲线
1. Ametherm数据表包含每种NTC热敏电阻产品的电阻比与温度的表格或矩阵。还为特定方程提供系数α和β,以帮助用户或设计者在温度精度方面转换电阻容差,以及计算每条曲线的温度系数。
2. 可用于制造热敏电阻的材料种类繁多,但根据尺寸,操作和存储温度范围以及标称电阻值存在一些限制。
• 标称阻力值
1. 要考虑的下一个因素是应用程序是需要曲线匹配还是点匹配。这将允许计算给定温度下所需的标称电阻值。
Ametherm为其NTC热敏电阻提供全范围的标称电阻值。标准参考温度为25°C,但买家和设计师可以要求不同的温度。
2.需要注意的是:如果在产品类型和材料成分的组合中没有所需的阻力,则必须决定哪个特性优先:产品类型/尺寸,材料偏好或阻力比。
• 耐受性
1. 在查看产品规格表时,Ametherm提供标准公差。例如,盘式或芯片式热敏电阻通常具有±1%至±20%的零功率电阻分布。
2. 为节省成本,Ametherm建议了与预期用途相关的最广泛公差规范。

NTC热敏电阻的类型
• 圆盘和芯片:它们配置有或没有涂层裸露或镀锡铜引线。有适合
各种情况的宽阻抗值的热敏电阻。
• 环氧树脂:环氧树脂浸涂在夹套的聚四氟乙烯/ PVC电线之间。它们的小尺寸便于安装,并且可以点或曲线匹配。
• 玻璃封装:在处理极端环境条件和稳定性至关重要时的最佳选择。配置包括
径向引线或轴向引线热敏电阻。
• 探头组件:根据应用要求提供各种外壳。
• 表面贴装:配置选项包括Bulk,Tape&Reel,双面和带钯银终端的环绕式。这些热敏电阻采用镍屏障制成,可在精密电路中发挥极佳作用。
可能需要的计算公式
α - 常数(%/°C)
电阻温度系数是零功率电阻随温度变化的特定温度T与热敏电阻的零功率电阻之比。


α - 常数计算公式
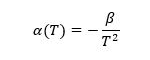
β - 常数(°K)
NTC热敏电阻的材料常数是其在一个温度下的电阻与在不同温度下的电阻相比的度量。Ametherm热敏电阻的下列公式中使用的参考温度为298.15°K和348.15°K。


β - 常数计算公式
烜芯微专业制造二极管,三极管,MOS管,桥堆等20年,工厂直销省20%,1500家电路电器生产企业选用,专业的工程师帮您稳定好每一批产品,如果您有遇到什么需要帮助解决的,可以点击右边的工程师,或者点击销售经理给您精准的报价以及产品介绍
烜芯微专业制造二极管,三极管,MOS管,桥堆等20年,工厂直销省20%,1500家电路电器生产企业选用,专业的工程师帮您稳定好每一批产品,如果您有遇到什么需要帮助解决的,可以点击右边的工程师,或者点击销售经理给您精准的报价以及产品介绍