纯电路电阻简单来说就是纯电阻器的电路(除开电源外),由于纯电阻元件的电路电压与电流频率相同,电阻器将电源全部转化成内能,这意味着电学里面的欧姆定律公式和焦耳定律公式也适用于纯电阻电路。
那么纯电路电阻的电功率如何计算?
首先我们了解一下纯电阻电路的原理图,如下:

从上图可以了解到,在纯电阻电路唯一影响电流大小的就是电阻R,也就是说,假设加在电阻R上的正弦交流电压的瞬时值为u=Um sinωf(Um为电压的最大值(V)),那么通过欧姆定律则可以计算出纯电阻电路中的电流瞬时值为i=u/R=(Um/R)sinωt,电流最大值为Im = Um/R,平均值则为I=U/R。
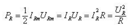
当然纯电阻电路中瞬时功率p是个不断变化的值,不易于计算,所以用通常纯电阻电路的平均功率P来表示纯电阻电路的负载消耗电能,其计算公式为:
P=UI=I2R=U2/R
(P=有功功率(平均功率)(W);R=负载电阻值(Ω);U=负载电阻两端的有效电压(V);I=流过负载的有效电流(A));
那么纯电阻电路的电功率如何计算?

当然,纯电阻电路的电功率只是用于参考,实际上,凡是存在其他能量转化的,基本上都不是只有电阻性负载存在,计算阻值和电压电流关系的时候就不能看做纯电阻电路
烜芯微专业制造二极管,三极管,MOS管,桥堆等20年,工厂直销省20%,1500家电路电器生产企业选用,专业的工程师帮您稳定好每一批产品,如果您有遇到什么需要帮助解决的,可以点击右边的工程师,或者点击销售经理给您精准的报价以及产品介绍
烜芯微专业制造二极管,三极管,MOS管,桥堆等20年,工厂直销省20%,1500家电路电器生产企业选用,专业的工程师帮您稳定好每一批产品,如果您有遇到什么需要帮助解决的,可以点击右边的工程师,或者点击销售经理给您精准的报价以及产品介绍